数据来源:中国科学院紫金山天文台 资料整理:杨旸、高良超、ZY-LunarCrater 时刻系东经120度标准时(北京时间)
天象包括行星天象(合日、冲日、凌日、大距、行星最接近地球、过远近日点、升降交点、纬度最南最北,以及行星相合、行星合恒星等),月相,月球过远近地点、月掩行星和恒星,日月食,二分二至,彗星,流星雨,变星等诸多天文事件。
2025年7月4日3时55分,地球通过公转轨道上的远日点,此时距离太阳1.016644天文单位、1亿5208万7737公里,太阳视直径31′28″,是今年所见到的日面最小的一天。
7月日没后夜幕低垂之时,可见牧夫座α星“大角”闪烁于天顶附近。待天色更深,夏季大三角中三颗明亮的恒星——天鹰座的牛郎星、天琴座的织女星与天鹅座的天津四——将在东北至东方低空闪耀登场。并且横贯东北至南方地平线的夏季银河,也随之清晰可见。同时,南方天空可见天蝎座与人马座的身影,心宿二那颗泛着红光的恒星标示着蝎子的心脏位置。
下半夜土星在东方升起,日出前可以看见金星与木星陆续升起。月底前后,更可见“宝瓶座δ南流星雨”的前奏,于午夜过后偶见划破夜空的流星。
夏季认星歌(小星星) 斗柄南指夏夜来,天蝎人马紧相挨; 顺着银河向北看,天鹰天琴两边排; 天鹅飞翔银河歪,牛郎织女色青白; 心宿红星照南斗,夏夜星空记心怀。 (取自台北市立天文科学教育馆)
[ 合、冲:黄经基准。留:赤经基准。 ] 太阳: 由双子座运行至巨蟹座。4日3时55分地球过远日点。7日4时05分小暑,22日21时29分大暑。13日出梅,20日入伏,30日中伏。太阳视星等-26.8等,视直径31.5角分。每一年,太阳会与天狼星共同升起一次。 水星:在巨蟹座顺行,4日东大距,17日留后转为逆行。上半月日没后可见于西偏北方附近低空,约于夜晚20时没入西偏北地平,下半月接近太阳不易看见。视星等+0.2→+5.3等,视直径7.6”→11.4”。 金星: 由金牛座移至双子座,顺行。约于凌晨2-3时在东北东地平升起,日出前可见于东方附近天空。视星等-4.2→-4.0等,视直径17.9”→14.4”。 火星: 由狮子座移至室女座,顺行。日没后可见于西方附近天空,上、下半月分别约于夜晚22、21时没入西方地平。视星等+1.5→+1.6等,视直径4.9”→4.4”。 木星: 在双子座顺行。上半月接近太阳不易看见,下半月约于凌晨3-4时于东北东地平升起,日出前可见于东偏北附近低空。视星等-1.9等,视直径32.0”→32.6”。 土星: 在双鱼座顺行,14日留后转为逆行。上、下半月分别约于夜晚22-23、21-22时于东方地平升起,日出前可见于南方附近天空。视星等+1.0→+0.9等,视直径17.7”→18.6”。 天王星: 在金牛座顺行。日出前可见于东方。视星等+5.8等,视直径3.5”。 海王星: 在双鱼座,顺行,5日留后转为逆行,日出前可见于西南方。视星等+7.9→+7.8等,视直径2.3”。 冥王星: 在摩羯座逆行。25日冲,整夜可见。视星等+14.4等,视直径0.1”。
7月4日12时39分为水星东大距,日距角25.93度,视星等+0.51等。由于水星绕太阳公转的轨道是最近的,因此它常伴于太阳左右。东大距(东方最大离角)在多数年份会发生三次。而这次的条件特别好,在日落时水星的高度将达到最高,属年内最佳观测窗口之一。 用肉眼找到0.6等的水星可能会有些困难,所以请稍等一会儿,当天空变暗一些后再观测。在这个水蒸气较多的季节,低空容易出现薄薄的雾霭。而且,如果高度较低,地球大气对光的吸收会变得强烈,因此根据天空的状况,肉眼可能难以发现水星。在这种情况下,可以使用双筒望远镜(7×50或10×50规格)。若使用小型天文望远镜,建议低倍率(20-30倍)配合广角目镜,避免水星因高度角低而快速移出视场。
2025年7月7日04:05小暑,太阳视黄经105°,太阳视赤纬+22°35′39.70″。小暑是二十四节气中的第十一个节气,小暑意为天气开始炎热,但还没到最热。
7月8日凌晨是年内最佳观测窗口之一。土星环沿着土星赤道向外延伸,宽度超过11万4000公里,相当于地球直径的8倍之多,但平均厚度却仅有20公尺,让外观如同光碟片一般。土星环是由细小的尘埃与冰粒所组成,朝着太阳显露的面积愈大,能反射的太阳光愈多,地球上所见的土星也就愈亮。土星环倾角最大之时,透过天文望远镜可以观察到土星被光环包围的景象。
7月16日18:09土星合月(视赤经0h10m44s),地心所见土星在月球以南3.83度的地方,不过此时在地平线下,尚未升起。待7月16日23点左右,请看东边方向。在低于10度的位置,有两天后是下弦的亏凸月。月球的右侧是土星。因为亮度是0.9等,所以和一等星差不多,而且有着独特沉稳的黄土色,用肉眼也能马上看出来吧。间隔差不多是5度,相当于手臂打直后,食指、中指与无名指三指合并顶端的宽度。 在上海浦东,月球升起时间是22点26分,土星升起时间是22点27分。出现在地平线上不到一个小时,所以高度低是没办法的。之后随着时间的推移,高度会上升,但间隔会变宽。因此,这次的星图设定了23点的时间。
7月22日03:25金星合月(视赤经5h13m57s),地心所见金星在月球以南7.13度的地方,相当于手臂打直后,四指合并顶端的宽度,合月时可见。凌晨3点左右,请看东北偏东比较低的位置。最先映入眼帘的是强烈明亮的金星。正因为被称为启明星,所以格外明亮。残月在金星的左上角,3天后是新月。虽说是“金星合月”,但因为距离有7度远,所以没有那么值得期待。附近有金牛座中最亮的恒星毕宿五。可一并欣赏。
7月22日8时前后,白昼月掩五车五(五车五亮度1.7等),中国(海南、台湾地区),马来西亚及新加坡全程可见。
现象 北京时间 地理经度 地理纬度 掩始 06:32:18.7 81.79043 -14.02521 掩甚 08:35:52.4 133.82711 12.02955 掩终 10:39:26.6 -172.93139 -8.95219 掩星时长94分33秒,掩带宽 3626.6 公里
2025年7月22日21:29大暑,太阳视黄经120°,太阳视赤纬+20°08′58.73″。大暑是二十四节气的第十二个节气,民间有“小暑大暑,上蒸下煮”之说。 在苏浙一带有“小暑雨如银,大暑雨如金”“伏天雨丰,粮丰棉丰”“伏不受旱,一亩增一担”等说法。如果大暑前后出现阴雨,则预示以后雨水多,农谚有“大暑有雨多雨,秋水足;大暑无雨少雨,吃水愁。”
2025年7月22日22:19冥王星最近地球(34.297610125AU)。冥王星太远,即使使用世界上最大的天文望远镜,看到的也只是个星点。自1930年被发现以来,冥王星作为太阳系第九大行星的身份持续了76年。2006年8月24日,国际天文学联合会(IAU)在布拉格召开的第26届大会以投票方式重新定义行星标准,这颗直径仅2370公里的冰质天体被正式移出行星序列,降级为矮行星。
7月23日12:19木星合月(视赤经6h42m37s),地心所见木星在月球以南4.91度的地方,但此时为白昼,不得见。 清晨3点半左右,请看东北偏东的低空。在接近地平线的位置有一颗明亮耀眼的星星,就是木星。在西部地区,有些地方还没有升起吧。木星上方的月亮在两天后是新月,是非常细的残月。这是一种非常不理想的发光方式,而且暗夜在30分钟前就结束了,曙光已经开始。因为用肉眼很难看到,所以使用双筒望远镜比较可靠。木星和残月的间隔正好大到7度,相当于手臂打直后,四指合并顶端的宽度。 木星在上个月刚刚合日。目前还在离太阳很近的位置,离太阳的角度在20度左右。高度低、条件差,这是没办法的。到了下个月,离太阳的角度就会超过40度,所以会比这个月更容易看。
7月25日前后,是黎明前看到的金星高度最高的时候。金星于6月1日为西大距(西方最大离角),距离太阳西侧最远。但是,从日出时刻看到的金星高度的意义上来说,这并不是最大的,而是将近两个月后的7月25日高度更高。 另一方面,与离太阳的角度相比,6月1日的距角为45.9度,而今天只有39.5度。就这样,尽管今天更接近太阳,但高度却变高了,这是一件奇怪的事情。这是因为,在最大偏离角的时候,从太阳看到的金星的位置向接近地平线平行的方向远离,而今天比在西大距(西方最大离角)的时候更向上方远离地平线。因此,即使距离太阳的角度很小,也能获得高度。
2025年7月25日14:33冥王星冲日,亮度14.4等,视直径0.1”。日落时冥王星从东方升起,日出时西落,几乎整夜可观测。冲日前后都是一年中观测矮行星冥王星的最好时机。
2025年7月27日18时前后,月掩轩辕十六(狮子座ρ星,3.8等),恒星由月球暗缘掩入。
现象 北京时间 地理经度 地理纬度 掩始 16:10:24.7 -38.23964 75.57588 掩甚 17:32:19.3 177.83664 62.02006 掩终 18:54:23.9 143.89680 25.09212
小行星在背景星空中移动时,有时会遮掩远方的恒星,这种现象就是小行星掩星。北京时间2025年7月27日(星期日)20时57分左右,推定直径约42.2公里,视星等13.33等主带小行星昔神星(167)Urda掩12.06等人马座恒星UCAC4 349-145652(J2000.0坐标:赤经α18h36m16.039s,赤纬δ−20°17′32.61”),最长见掩时长5.1秒,减光(亮度下降)1.6等,月球在地平线下,中国中部可见。须提前熟悉观测目标,使用指向定位良好的赤道仪,并配合口径20公分(8吋)以上天文望远镜计时观测,误差勿超过1秒钟。 掩星详情: https://www.bedekkingen.vvs.be/predictions/asteroids2025/PDF/A25_07038.pdf 轨道数据: https://www.astorb.com/info/167.html
7月29日03:45火星合月(视赤经11h40m18s),地心所见火星在月球以北1.29度,南太平洋发生月掩火星。 在7月28日20点左右看西边的低空,可以看到蛾眉月。它的左上角有红色的火星。间隔5度还可以。亮度为1.6等,看起来火星不清晰。这是因为火星和地球的距离很远,有2.1AU(天文单位),火星不断接近太阳。下个月条件会更差,所以这个月看吧。
2025年7月30日,宝瓶座δ南流星雨(Southern delta Aquariids,00005 SDA)极大期。因为预测最大时刻为14时左右,所以从30日凌晨开始到黎明是容易看的时机。从30日深夜到31日凌晨也有机会。两个晚上都没有月光的影响,观测条件很好。 摩羯座α流星雨(alpha Capricornids,00001 CAP)的活动也将在同一天达到极大期,并且在这个时期,包括英仙座流星雨(Perseids,00007 PER)在内的多个流星雨也在活动,因此预计在天空条件良好的地方,每小时可以看到大约15颗流星。流星在整个天空中飞行,因此不必局限于辐射点所在的宝瓶座方向,可以宽广地观察。 详细来看,分为宝瓶座δ南流星雨(Southern delta Aquariids,00005 SDA)和宝瓶座δ北流星雨(Northern delta Aquariids,00026 NDA),而且宝瓶座ι南流星雨(Southern iota Aquariids,00003 SIA)和宝瓶座ι北流星雨(Northern iota Aquariids,00033 NIA)(ι读作Iota)、摩羯座α流星雨(alpha Capricornids,00001 CAP)也在活动。其中最活跃的是宝瓶座δ南流星雨,但是对于外行人来说,通过观测流星来细致地区分属于哪个流星雨是很难的吧。 流星飞向地球的速度,宝瓶座δ南流星雨为41km/秒,为中等至稍慢的速度。因此流星的移动速度也以从中等到稍慢的速度流动。另一方面,宝瓶座ι南流星雨和宝瓶座ι北流星雨的速度都很慢,只有30km/秒左右。 流星数 美国流星协会(AMS)将每小时能看到至少10颗流星的流星雨定义为大型流星雨(Major Meteor Showers)。 话虽如此,实际上流星出现数量很少。流星最多的“宝瓶座δ南流星雨”也只是每小时最多10颗左右,其他流星雨只有1到3颗左右,非常少。如果被“流星雨”的名字所吸引,带着期待去观测的话,会产生遗憾的结果。不要过度期待比较好吧。
流星雨名称 国际天文学联合会有一个工作组,专门负责追踪流星雨和建立流星雨数据中心(https://www.ta3.sk/IAUC22DB/MDC2022/ ),并为已经确认的流星雨命名。 国际天文学联合会对于流星雨(single shower)、流星群(shower group)的官方正式名称有严格的规定。 翻译时最容易犯错的就是照英文直译。其中,南、北位置命名的流星雨要放在星座名或亮星名后面标示,以免与星座名称冲突、混淆。 避免一些对天文知识缺乏认识的普通民众,误以为天空中有个星座名叫“南宝瓶座”,跟三角座、南三角座一样是天上的星座名称。
不可以叫北宝瓶座δ流星雨,要用宝瓶座δ北流星雨。 不可以叫南宝瓶座δ流星雨,要用宝瓶座δ南流星雨。 不可以叫北北冕座流星雨,要用北冕座北流星雨。 不可以叫南北冕座流星雨,要用北冕座南流星雨。 不可以叫北南冕座流星雨,要用南冕座北流星雨。 不可以叫南南冕座流星雨,要用南冕座南流星雨。
同样道理,没有南南极座、北南极座、南南十字座、北南十字座、南南三角座、北南三角座流星雨的错误叫法。 星座本身的名称是以Borealis表示这个星座位于天球的北方,Australis表示位于天球的南方。而且星座的拉丁名字的南、北是放在后面(例如:北冕座 Corona Borealis、南冕座 Corona Australis),中文是放在前面,不是按照原文顺序译成“冕北座”或者“冕南座”。如果按照原文顺序翻译概念,北冕座南就得译成:South(南)Corona(冕)Borealis(北)座了。 宝瓶座δ南流星雨,表示:辐射点来自宝瓶座δ星南边出现的流星雨。同理,宝瓶座δ北流星雨,表示:辐射点来自宝瓶座δ星北边出现的流星雨。 事实上日本国立天文台翻译这些天文名词时,也是按照国际天文学联合会的原意,将南、北两个流星雨分支,分别译为宝瓶座δ南流星雨和宝瓶座δ北流星雨。
4K录像要求:MP4格式,3840×2160(16:9)分辨率,视频编码采用AVS3标准,码率不低于18Mbps;视频编码采用AVS2标准,码率不低于36Mbps。按照新国标执行。
2025/07/01 11:45 月球过降交点 2025/07/01 13h 海王星视赤纬最北(δ+0°21′) 2025/07/01 19:09 天秤座δ星氐宿增一极小(大陵五型食变星) 2025/07/02 02:17 月球过天赤道,进入南半球 2025/07/02 19:27 仙后座RZ星极小(大陵五型食变星) 2025/07/03 北冕座S星极大(米拉变星,5.8~14.1等,周期360日) 2025/07/03 03:30 上弦 2025/07/03 14h 水星接近鬼星团“积尸气”(蜂巢星团、M44、NGC2632) 2025/07/04 00:08 仙后座RZ星极小(大陵五型食变星) 2025/07/04 03:55 地球过远日点(1.016644天文单位、1亿5208万7737公里、太阳视直径31′28″) 2025/07/04 06:23 角宿一合月,角宿一在月球以北0.80度(南极洲、阿根廷、智利、福克兰群岛可见月掩角宿一) 2025/07/04 09:03 天王星合金星,天王星在金星以北2.42度 2025/07/04 11h 水星过降交点(黄纬0°) 2025/07/04 12:39 水星东大距(距角25.9°,0.5等,视直径8.1″) 2025/07/04 14h 金星日心黄纬最南(黄纬-3.4°) 2025/07/05 03:18 英仙座β星大陵五极小(大陵五型食变星原型,2.1~3.4等,变光周期2.87日) 2025/07/05 05h 金星接近昴星团(七姊妹星团、M45、Mel22) 2025/07/05 10:29 月球过远地点(40万4627公里,视直径29.5′) 2025/07/05 22:30 海王星留(视赤经00.17h),转为逆行 2025/07/07 仙后座V星极大(6.9~13.4等,周期229日) 2025/07/07 七月白羊座ξ流星雨极大期(ZHR<2),七月白羊座ξ流星雨(July xi Arietids,00533 JXA)出现日期介在6月26日至7月22日之间,速度68.4km/s(中速) 2025/07/07 04:05 小暑,太阳视黄经105°,太阳视赤纬+22°35′39.70″ 2025/07/07 05h 土星视赤纬最北(δ+1°19’) 2025/07/08 土星环次大傾角(南3.6°) 2025/07/08 00:07 英仙座β星大陵五极小(大陵五型食变星原型,2.1~3.4等,变光周期2.87日) 2025/07/08 02:19 心宿二合月,心宿二在月球以北0.40度(南极洲、澳大利亚、南非、纳米比亚可见月掩心宿二) 2025/07/08 05h C/2024 X2 (ATLAS)阿特拉斯彗星通过近日点 2025/07/08 18:44 天秤座δ星氐宿增一极小(大陵五型食变星) 2025/07/08 18:53 仙后座RZ星极小(大陵五型食变星) 2025/07/09 13:55 月球视赤纬最南(δ-28°25.8′) 2025/07/09 23:34 仙后座RZ星极小(大陵五型食变星) 2025/07/10 七月飞马座流星雨极大期(ZHR~3),七月飞马座流星雨(July Pegasids,00175 JPE)活动日期介在7月4日至7月28日之间,速度63.8km/s(中速),亮度指标r=3.0(暗淡) 2025/07/10 08h 天王星接近昴星团(七姊妹星团、M45、Mel22) 2025/07/11 双鱼座φ流星雨极大期(ZHR<2),双鱼座φ流星雨(phi Piscids,00372 PPS)出现日期介在7月2日至7月22日之间,速度66.5km/s(中速) 2025/07/11 04:37 望,农历六月十七 2025/07/11 23h P/2005 J1 (McNaught)麦克诺特3号彗星通过近日点(周期6.8年) 2025/07/12 仙女座c流星雨极大期(ZHR<2),仙女座c流星雨(c Andromedids,00411 CAN)出现日期介在6月21日至7月28日之间,速度56.9km/s(中速) 2025/07/12 06:42 月掩冥王星 2025/07/13 09h C/2023 V1 (Lemmon)莱蒙彗星通过近日点 2025/07/14 人马座RT星极大(米拉变星,6.0~14.1等,周期306日) 2025/07/14 飞马座R星极大(米拉变星,6.9~13.8等、周期378日) 2025/07/14 11:54 金星合毕宿五,金星在毕宿五以北3.21度 2025/07/14 03:27 金牛座λ星毕宿八极小(大陵五型食变星) 2025/07/14 15:57 土星留(视赤经00.18h),转为逆行 2025/07/14 18:18 仙后座RZ星极小(大陵五型食变星) 2025/07/14 20:32 水星过远日点(距离太阳0.467AU) 2025/07/15 六月天鹰座北流星雨极大期(ZHR<2),六月天鹰座北流星雨(Northern June Aquilids,00164 NZC)出现日期介在6月26日至7月22日之间,速度37.7km/s(中速) 2025/07/15 仙后座ζ流星雨极大期(ZHR<2),仙后座ζ流星雨(zeta Cassiopeiids,00444 ZCS)出现日期介在7月7日至7月22日之间,速度57.2km/s(中速) 2025/07/15 18:19 天秤座δ星氐宿增一极小(大陵五型食变星) 2025/07/15 22:59 仙后座RZ星极小(大陵五型食变星) 2025/07/16 09:30 月球过天赤道,进入北半球 2025/07/16 18:09 土星合月,土星在月球以南3.83度(瞬时中天经度:-89.62456284) 2025/07/16 18:31 海王星合月,海王星在月球以南2.76度(瞬时中天经度:-84.26595024) 2025/07/17 仙后座R星极大(米拉变星,4.7~13.5等,周期430日) 2025/07/17 03:40 仙后座RZ星极小(大陵五型食变星) 2025/07/17 15:23 水星留(视赤经09.14h),转为逆行 2025/07/18 02:19 金牛座λ星毕宿八极小(大陵五型食变星) 2025/07/18 08:38 下弦 2025/07/20 21:04 天王星合月,天王星在月球以南5.18度(瞬时中天经度:-76.194369) 2025/07/20 21:55 月球过近地点(36万8041公里,视直径32.5′) 2025/07/20 23h 60P/Tsuchinshan紫金山2号彗星通过近日点(周期6.6年) 2025/07/21 室女座R星极大(米拉变星,6.1~12.1等,周期146日) 2025/07/21 22:25 仙后座RZ星极小(大陵五型食变星) 2025/07/22 01:11 金牛座λ星毕宿八极小(大陵五型食变星) 2025/07/22 03:25 金星合月,金星在月球以南7.13度(瞬时中天经度:-152.5367143) 2025/07/22 07:59 白昼月掩五车五(五车五亮度1.7等,海南、台湾地区全程可见) 2025/07/22 17:33 月球视赤纬最北(δ+28°28.7′) 2025/07/22 17:54 天秤座δ星氐宿增一极小(大陵五型食变星) 2025/07/22 21:29 大暑,太阳视黄经120°,太阳视赤纬+20°08′58.73″ 2025/07/22 22:19 冥王星最近地球(34.297610125AU) 2025/07/23 仙王座T星极大(米拉变星,5.2~11.3等,周期388日) 2025/07/23 飞马座S星极大(米拉变星,6.9~13.8等,周期319日) 2025/07/23 03:06 仙后座RZ星极小(大陵五型食变星) 2025/07/23 12:19 木星合月,木星在月球以南4.91度(瞬时中天经度:94.74837654) 2025/07/24 13:09 北河三合月,北河三在月球以北2.52度 2025/07/25 室女座S星极大(米拉变星,6.3~13.2等,周期375日) 2025/07/25 天鹅座U星极大(米拉变星,5.9~12.1等,周期463日) 2025/07/25 03:11 朔,农历闰六月初一 2025/07/25 03:25 水星视赤纬最北(δ+12°21’28”) 2025/07/25 14:33 冥王星冲日(亮度14.4等,视直径0.1”) 2025/07/25 19:07 水星合月,水星在月球以南8.07度(瞬时中天经度:24.3241031) 2025/07/26 天鹰座W星极大(7.3~14.3等,周期490日) 2025/07/26 00:03 金牛座λ星毕宿八极小(大陵五型食变星) 2025/07/26 17h 金星与金牛座超新星残骸M1蟹状星云最接近(00°30′) 2025/07/27 小狮座R星极大(米拉变星,6.3~13.2等,周期372日) 2025/07/27 04:24 轩辕十四合月,轩辕十四在月球以南1.33度 2025/07/27 18h 月掩轩辕十六(狮子座ρ星,3.8等),恒星由月球暗缘掩入 2025/07/27 21:50 仙后座RZ星极小(大陵五型食变星) 2025/07/28 南鱼座流星雨极大期(ZHR~5),南鱼座流星雨(Piscis Austrinids,00183 PAU)出现日期介在7月15日至8月10日之间,速度35km/s(偏慢),亮度指标r=3.2(暗淡),α=341°,δ=-30° 2025/07/28 七月天龙座γ流星雨极大期(ZHR~5),七月天龙座γ流星雨(July gamma Draconids,00184 GDR)出现日期介在7月23日至8月3日之间,速度27.3km/s(慢速),亮度指标r=3.0(暗淡) 2025/07/28 01:47 英仙座β星大陵五极小(大陵五型食变星原型,2.1~3.4等,变光周期2.87日) 2025/07/28 05h C/2025 K4 (Siverd)西弗德彗星通过近日点 2025/07/28 16:30 月球过降交点 2025/07/29 02:31 仙后座RZ星极小(大陵五型食变星) 2025/07/29 03:45 火星合月,火星在月球以北1.29度(南太平洋月掩火星)(瞬时中天经度:-67.85070138) 2025/07/29 10:02 月球过天赤道,进入南半球 2025/07/30 14h 宝瓶座δ南流星雨极大期(ZHR~25),7颗/时,宝瓶座δ南流星雨(Southern delta Aquariids,00005 SDA)出现日期介在7月12日至8月23日之间,速度41km/s(慢速),亮度指标r=2.5(中等),α=340°,δ=-16°,母天体96P/Machholz梅克贺兹1号彗星? 2025/07/30 14h 摩羯座α流星雨极大期(ZHR~5),2颗/时,摩羯座α流星雨(alpha Capricornids,00001 CAP)出现日期介在7月3日至8月15日之间,速度23km/s(慢速),亮度指标r=2.5(中等),α=307°,δ=-10°,母天体169P/NEAT尼特22号彗星 2025/07/30 19h 小行星智神星与海豚座α星瓠瓜一最接近(00°13′) 2025/07/30 22:36 英仙座β星大陵五极小(大陵五型食变星原型,2.1~3.4等,变光周期2.87日) 2025/07/31 小犬座S星极大(米拉变星,6.6~13.2等,周期333日) 2025/07/31 14:29 角宿一合月,角宿一在月球以北1.03度(南极洲可见月掩角宿一)
注1:凡称行星合月、恒星合月、行星合恒星、行星合行星,皆指地心视赤经相同;惟合日、冲日则用地心视黄经。 注2:瞬时中天经度是指行星合月与恒星合月、行星合恒星与行星合行星时,由北极向南极的同一地理经度都能同时看到它们相合时的瞬时中天(纬度不必考虑)。例如2025/06/01/17:49火星合月(视赤经合),地处东经106.8度经线上可以看到它们同时到达中天。中天即是当地的视子午线。参见紫金山天文台官方微信说明。 注3:部分天象(彗星、流星雨、变星等)由于误差原因,无法(也不可能)精确到分钟。
天象载太阳、月球和行星的动态以及其他天文现象,包括: (1)行星的地心天象(冲日、合日、方照、留、内行星东西大距以及金星最亮、火星最近地球等)和日心天象(过近日点和远日点、纬度最北和最南、过升交点和过降交点等); (2)日月食概况; (3)朔、望、两弦,月球过近地点和远地点; (4)月掩行星或掩四颗亮恒星(毕宿五即金牛座α星、轩辕十四即狮子座α星、角宿一即室女座α星、心宿二即天蝎座α星),行星合月,行星之间以及行星与五颗亮恒星(除上列四颗外,另加北河三即双子座β星)之间相合。掩星和合月如果距离合朔24h之内,即不列出,行星之间相合或行星与恒星相合如果距离太阳10°以内,也不列出。
现把各种天象分别说明如下:
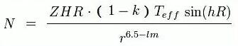
天顶每时出现率(Zenithal Hourly Rate,Rate:率,简称ZHR),是天文学专有名词。来自中国天文学会天文学名词审定委员会审定发布的天文学专有名词中文译名。假设辐射点位于仰角90度的天顶,在理想情况下,一个肉眼视力能够看到6.5等星的观测者可以看见的流星数量最多的流量值。实际能看见的会低于此一数值。 ZHR不应该翻译成“每小时天顶流星数”,国际流星组织(IMO)没有“ZHN=Zenith Hourly Number(天顶每小时流星数)”、“ZHF=Zenith Hourly flow quantity(每小时天顶流量)”这一类的词。维基百科和百度百科根据国际流星组织2017年12月21日上架的《2018流星雨日历》中文版开始,将ZHR翻译为“天顶每时出现率”。开源星空模拟软件Stellarium(虚拟天文馆)亦在最新的25.1版本中更新了zh_CN和zh_HK的翻译。 预报当地可见的流星数(Number),可按照下列公式计算:
其中,N为可见流星数目(颗);Teff为观测时长;K为云量遮盖率(百分比);lm为可见最暗星星的亮度(最佳条件为6.5等,实际需考虑当地光污染因素);hR为流星雨辐射点距地平线的仰角(地平高度);r为亮度指标,r值通常介于2.0(明亮)到3.5(暗淡)之间。
晨昏蒙影(台湾名:曙暮光):日出前和日没后由高空大气散射太阳光引起的天空发亮的现象称为晨昏蒙影;在日出前的叫做晨光,在日没后的叫做昏影。太阳中心在地平下6°时称为民用晨光始或民用昏影终,这时光线暗淡,需要人工照明。太阳中心在地平下18°时称为天文晨光始或天文昏影终,这时天空完全黑暗,可以看到目视最暗的星。
月相是月球环绕地球公转时,地球、月球、太阳之相对位置的变化,地球上的观测者从不同角度看到月球被太阳照亮的部分,造成月相盈亏圆缺之变化。月相盈亏周期平均是29.530588日,历法中之朔望月源于此。
朔、蛾眉月、上弦、盈凸月、望、亏凸月、下弦,残月分别是月球视黄经超过太阳视黄经0、45、90、135、180、225、270、315度的时刻。
阴历是按月球的月相周期来安排的历法,它的一年有12个朔望月,约354或355日。主要根据月球绕地球运行一周时间为一个月,称为朔望月,大约29.530588日,大月有30日、小月有29日。
月龄是指从新月为起始,在一个朔望月周期内,出现各种月相所经历的天数。月龄的数值通常用带一位小数的数字表示,比如月龄7.4是上弦月,月龄14.8是满月,月龄22.2是下弦月。因此月龄和阴历是有关连的,只不过阴历只显示朔望月每日的整数,而月龄是计算月相所经历的天数,为求更加准确,很多时会显示至小数后一个位(甚至几个位)。如果知道确实的月龄,便能推算出当时月球大致的形状、出没时刻及所在方位。
月掩星:月球在天空中每月移动一周,每小时约东移半度多,相当于月球的视角直径。月球移动时常将恒星和行星掩蔽起来,这种现象称为月掩星。观测月掩星可以测定观测者的地理坐标、研究双星、测定太阳视差及月球位置等,是业余天文学家感兴趣的观测项目之一。专业天文学家亦需要仰赖月掩射电源来求出射电源的准确位置。
合月、月掩星、行星间和行星与恒星相合:行星或恒星合月以及行星之间、行星与恒星相合都是指视赤经相合而言。行星在天球上运行的路线以及四颗亮恒星(毕宿五、轩辕十四、角宿一和心宿二)都很接近黄道,因而月球18.6年交点运动周期内有机会掩蔽它们。
视赤经和视赤纬系以当天真春分点和真赤道为准,章动长周期项和短周期项以及行星光行差都以包括在内,但没有包括太阳引力场引起的光线偏转的影响。视位置由真位置加行星光行差改正得出,其关系式为
α视=α真-0.00577552×Δ×δα δ视=δ真-0.00577552×Δ×δδ
其中Δ为行星的地心距,δα和δδ分别为赤经和赤纬的每日变化。
地心距为行星中心至地心的真距离,不包括光行差的影响。
合日和冲日:外行星或小行星视黄经与太阳视黄经相同的时候称为合日,相差180度的时候叫做冲日。内行星(水星和金星)的合日有上合和下合之分,上合是行星在太阳之后,即太阳在内行星与地球之间,下合是行星在太阳之前,即行星在太阳与地球之间,上合的时候,行星是顺行,即行星由西向东移动,下合时是逆行,即行星由东向西移动。行星相邻两次合日(或冲日)的平均间隔称为会和周期,根据行星的平均运动得出行星的会和周期如下:
水星 115.88日 土 星 378.09日 金星 583.92日 天王星 369.66日 火星 779.94日 海王星 367.48日 木星 398.88日 冥王星 366.72日
由于轨道偏心率和摄动的影响,实际间隔与会和周期有一定的差异。
留:由于地球和行星绕日运动时运行速度和相对位置的不同,行星在天空的视运动有时顺行(自西向东),有时逆行。顺行和逆行之间有一个时刻行星看来是停留不动的,这叫做留。顺行而留,留后逆行叫做顺留;逆行而留,留后顺行叫做逆留。内行星发生在上合日以后,外行星发生在冲日以后。
东大距和西大距:外行星对太阳的角距可以为任何数值,在180度时为冲日。而内行星由于轨道是在地球轨道内侧,所以从地球上看,它们对太阳的角距不能超过某种限度,并且没有冲日现象。内行星在太阳之东(或西)的最大角距称为东(或西)大距。水星在下合日前后约20天达东大距或西大距,由于水星轨道偏心率比较大,最大角距变化在18度~28度之间。金星在下合日前后70天左右达东西大距,角距约为46度~48度。内行星发生的天象其循环总是这样:下合-留-西大距-上合-东大距-留-下合。
方照:对外行星而言,行星视黄经超过太阳视黄经90度和270度时为方照,在太阳以东90度时称为东方照,在太阳以西90度时为西方照。
距角:是自地球看行星与太阳之间的角度,从太阳向东或向西计算,由0°至180°,但由于行星轨道与黄道有一定的倾斜,行星合日和冲日时,距角不一定恰好是0°或180°。 距角E是用下式计算: cosE=(R²+△²-r²)/2R△ 其中R和r分别是地球和行星的日心向径,△是行星的地心距离。
金星最亮:从地球看金星,也像月球一样有盈亏晦明现象。金星约在下合日前后36天,或东大距之后西大距之前35天为最亮。金星的会合周期约为584天,所以它的最亮日期有时全年都没有,有时一年有两次。 关于金星的亮度计算采用下列公式计算: m=-4.47+5lgrΔ+0.0103i+0.000057i²+0.00000013i³,2.2<i<163.6; 0.98+5lgrΔ-0.0102i,163.6<i<170.2。 i以“度”为单位,r、Δ以“天文单位”为单位。 位相角采用下列公式计算: 设L与B表示其日心的、l与b表示其地心的黄经与黄纬,θ表示太阳的黄经,且将其黄纬略而不计。设在太阳一地球一行星三点所组成的平面三角形内,以σ表示地球所在的角,σ'表示太阳所在的角,则 cosσ=cos(θ-l)cosb cosσ'=-cos(θ-L)cosB i=180-(σ-σ') σ角是地面观测者所看的行星对于太阳的距角,常小于直角;σ'角在一或二象限内,按其余弦的符号而决定。
火星最近地球:火星在一回合周期里,有一次距离地球最近,发生在冲日附近。2025年1月12日21时37分,火星最近地球。
过近日点和过远日点:假使不考虑摄动影响,行星的轨道为一椭圆,而太阳在其焦点上,行星在轨道上离太阳最近的一点,称为近日点,最远的一点称为远日点。所列过近日点和过远日点日期是行星向径为极小或极大的日期,也就是已经考虑摄动的影响,这与由平均轨道根数近日点黄经等于0度或180度的日期稍有不同。
行星纬度最南最北:是日心黄纬最南、最北的时刻,最北时黄纬为正,最南时黄纬为负。
仙后座RZ星(HIP 13133)是仙后座中的一颗恒星,以食变星闻名。学名为RZ Cassiopeiae(缩写为RZ Cas)。1906年被发现。它的变化周期仅为1.1953天。亮度在6.18等至7.72等之间变化。由于它的快速变暗和变亮变化以及可以用双筒望远镜轻松观察到其亮度,因此它在天文爱好者中很受欢迎! 仙后座RZ星在阁道一(仙后座ι星)附近。通过连接阁道三(仙后座δ星)和阁道二(仙后座ε星,是“W”最左边的恒星)而在仙后座ε星方向上以相同的长度寻找4.5等星就是仙后座ι星。一旦找到了仙后座ι,您就可以使用外部链接星图轻松找到仙后座RZ。它位于银经132.89、银纬9.07,其B1900.0坐标为赤经α2h39m54.1s、赤纬δ+69°9.07′49″。
预报的时间同时适用于所有东八时区(UTC+08:00)的地方,包括:中国、蒙古、菲律宾、新加坡、马来西亚、文莱、西澳大利亚。
1、《2025年中国天文年历》科学出版社,ISBN: 9787030770585 2、《十年袖珍月历 2025-2034年》气象出版社,ISBN: 9787502981570 3、李广宇、张培瑜著《PMOE2003行星历表框架》,《紫金山天文台台刊》第22卷,3~4期(2003年12月) 4、《大众万年历 1901-2050年》1994年10月第2版,上海科学技术出版社 5、美国流星协会 6、有趣天文奇观
2025年天象预报资料,可在“有趣天文奇观”网站下取得,欢迎多加利用!http://interesting-sky.china-vo.org/categories/year/
欢迎关注本站公众号
实时获取最新咨询
移动端首页 | PC端
免责声明:本站资料来自网络和网友分享,如有侵权请联系本站
Email:wlcz_8@163.com 站长QQ:17893691
2026© by Qi Mobile Web
数据来源:中国科学院紫金山天文台
资料整理:杨旸、高良超、ZY-LunarCrater
时刻系东经120度标准时(北京时间)
天象包括行星天象(合日、冲日、凌日、大距、行星最接近地球、过远近日点、升降交点、纬度最南最北,以及行星相合、行星合恒星等),月相,月球过远近地点、月掩行星和恒星,日月食,二分二至,彗星,流星雨,变星等诸多天文事件。
2025年7月4日3时55分,地球通过公转轨道上的远日点,此时距离太阳1.016644天文单位、1亿5208万7737公里,太阳视直径31′28″,是今年所见到的日面最小的一天。
7月日没后夜幕低垂之时,可见牧夫座α星“大角”闪烁于天顶附近。待天色更深,夏季大三角中三颗明亮的恒星——天鹰座的牛郎星、天琴座的织女星与天鹅座的天津四——将在东北至东方低空闪耀登场。并且横贯东北至南方地平线的夏季银河,也随之清晰可见。同时,南方天空可见天蝎座与人马座的身影,心宿二那颗泛着红光的恒星标示着蝎子的心脏位置。
下半夜土星在东方升起,日出前可以看见金星与木星陆续升起。月底前后,更可见“宝瓶座δ南流星雨”的前奏,于午夜过后偶见划破夜空的流星。
夏季认星歌(小星星)
斗柄南指夏夜来,天蝎人马紧相挨;
顺着银河向北看,天鹰天琴两边排;
天鹅飞翔银河歪,牛郎织女色青白;
心宿红星照南斗,夏夜星空记心怀。
(取自台北市立天文科学教育馆)
太阳系天体动态
[ 合、冲:黄经基准。留:赤经基准。 ]
太阳: 由双子座运行至巨蟹座。4日3时55分地球过远日点。7日4时05分小暑,22日21时29分大暑。13日出梅,20日入伏,30日中伏。太阳视星等-26.8等,视直径31.5角分。每一年,太阳会与天狼星共同升起一次。
水星:在巨蟹座顺行,4日东大距,17日留后转为逆行。上半月日没后可见于西偏北方附近低空,约于夜晚20时没入西偏北地平,下半月接近太阳不易看见。视星等+0.2→+5.3等,视直径7.6”→11.4”。
金星: 由金牛座移至双子座,顺行。约于凌晨2-3时在东北东地平升起,日出前可见于东方附近天空。视星等-4.2→-4.0等,视直径17.9”→14.4”。
火星: 由狮子座移至室女座,顺行。日没后可见于西方附近天空,上、下半月分别约于夜晚22、21时没入西方地平。视星等+1.5→+1.6等,视直径4.9”→4.4”。
木星: 在双子座顺行。上半月接近太阳不易看见,下半月约于凌晨3-4时于东北东地平升起,日出前可见于东偏北附近低空。视星等-1.9等,视直径32.0”→32.6”。
土星: 在双鱼座顺行,14日留后转为逆行。上、下半月分别约于夜晚22-23、21-22时于东方地平升起,日出前可见于南方附近天空。视星等+1.0→+0.9等,视直径17.7”→18.6”。
天王星: 在金牛座顺行。日出前可见于东方。视星等+5.8等,视直径3.5”。
海王星: 在双鱼座,顺行,5日留后转为逆行,日出前可见于西南方。视星等+7.9→+7.8等,视直径2.3”。
冥王星: 在摩羯座逆行。25日冲,整夜可见。视星等+14.4等,视直径0.1”。
推荐天象
2025/7/4 地球过远日点 ★
2025年7月4日3时55分,地球通过公转轨道上的远日点,此时距离太阳1.016644天文单位、1亿5208万7737公里,太阳视直径31′28″,是今年所见到的日面最小的一天。
2025/7/4 水星东大距 ★
7月4日12时39分为水星东大距,日距角25.93度,视星等+0.51等。由于水星绕太阳公转的轨道是最近的,因此它常伴于太阳左右。东大距(东方最大离角)在多数年份会发生三次。而这次的条件特别好,在日落时水星的高度将达到最高,属年内最佳观测窗口之一。
用肉眼找到0.6等的水星可能会有些困难,所以请稍等一会儿,当天空变暗一些后再观测。在这个水蒸气较多的季节,低空容易出现薄薄的雾霭。而且,如果高度较低,地球大气对光的吸收会变得强烈,因此根据天空的状况,肉眼可能难以发现水星。在这种情况下,可以使用双筒望远镜(7×50或10×50规格)。若使用小型天文望远镜,建议低倍率(20-30倍)配合广角目镜,避免水星因高度角低而快速移出视场。
2025/7/7 小暑 ★
2025年7月7日04:05小暑,太阳视黄经105°,太阳视赤纬+22°35′39.70″。小暑是二十四节气中的第十一个节气,小暑意为天气开始炎热,但还没到最热。
2025/7/8 土星环年度次大倾角(南3.6度) ★
7月8日凌晨是年内最佳观测窗口之一。土星环沿着土星赤道向外延伸,宽度超过11万4000公里,相当于地球直径的8倍之多,但平均厚度却仅有20公尺,让外观如同光碟片一般。土星环是由细小的尘埃与冰粒所组成,朝着太阳显露的面积愈大,能反射的太阳光愈多,地球上所见的土星也就愈亮。土星环倾角最大之时,透过天文望远镜可以观察到土星被光环包围的景象。
2025/7/16 土星合月 ★
7月16日18:09土星合月(视赤经0h10m44s),地心所见土星在月球以南3.83度的地方,不过此时在地平线下,尚未升起。待7月16日23点左右,请看东边方向。在低于10度的位置,有两天后是下弦的亏凸月。月球的右侧是土星。因为亮度是0.9等,所以和一等星差不多,而且有着独特沉稳的黄土色,用肉眼也能马上看出来吧。间隔差不多是5度,相当于手臂打直后,食指、中指与无名指三指合并顶端的宽度。
在上海浦东,月球升起时间是22点26分,土星升起时间是22点27分。出现在地平线上不到一个小时,所以高度低是没办法的。之后随着时间的推移,高度会上升,但间隔会变宽。因此,这次的星图设定了23点的时间。
2025/7/22 金星合月 ★
7月22日03:25金星合月(视赤经5h13m57s),地心所见金星在月球以南7.13度的地方,相当于手臂打直后,四指合并顶端的宽度,合月时可见。凌晨3点左右,请看东北偏东比较低的位置。最先映入眼帘的是强烈明亮的金星。正因为被称为启明星,所以格外明亮。残月在金星的左上角,3天后是新月。虽说是“金星合月”,但因为距离有7度远,所以没有那么值得期待。附近有金牛座中最亮的恒星毕宿五。可一并欣赏。
2025/7/22 白昼月掩五车五(海南、台湾地区全程可见)
7月22日8时前后,白昼月掩五车五(五车五亮度1.7等),中国(海南、台湾地区),马来西亚及新加坡全程可见。
现象 北京时间 地理经度 地理纬度
掩始 06:32:18.7 81.79043 -14.02521
掩甚 08:35:52.4 133.82711 12.02955
掩终 10:39:26.6 -172.93139 -8.95219
掩星时长94分33秒,掩带宽 3626.6 公里
2025/7/22 大暑 ★
2025年7月22日21:29大暑,太阳视黄经120°,太阳视赤纬+20°08′58.73″。大暑是二十四节气的第十二个节气,民间有“小暑大暑,上蒸下煮”之说。
在苏浙一带有“小暑雨如银,大暑雨如金”“伏天雨丰,粮丰棉丰”“伏不受旱,一亩增一担”等说法。如果大暑前后出现阴雨,则预示以后雨水多,农谚有“大暑有雨多雨,秋水足;大暑无雨少雨,吃水愁。”
2025/7/22 冥王星最近地球 ★
2025年7月22日22:19冥王星最近地球(34.297610125AU)。冥王星太远,即使使用世界上最大的天文望远镜,看到的也只是个星点。自1930年被发现以来,冥王星作为太阳系第九大行星的身份持续了76年。2006年8月24日,国际天文学联合会(IAU)在布拉格召开的第26届大会以投票方式重新定义行星标准,这颗直径仅2370公里的冰质天体被正式移出行星序列,降级为矮行星。
2025/7/23 木星合月 ☆
7月23日12:19木星合月(视赤经6h42m37s),地心所见木星在月球以南4.91度的地方,但此时为白昼,不得见。
清晨3点半左右,请看东北偏东的低空。在接近地平线的位置有一颗明亮耀眼的星星,就是木星。在西部地区,有些地方还没有升起吧。木星上方的月亮在两天后是新月,是非常细的残月。这是一种非常不理想的发光方式,而且暗夜在30分钟前就结束了,曙光已经开始。因为用肉眼很难看到,所以使用双筒望远镜比较可靠。木星和残月的间隔正好大到7度,相当于手臂打直后,四指合并顶端的宽度。
木星在上个月刚刚合日。目前还在离太阳很近的位置,离太阳的角度在20度左右。高度低、条件差,这是没办法的。到了下个月,离太阳的角度就会超过40度,所以会比这个月更容易看。
2025/7/25 金星高度最大 ★
7月25日前后,是黎明前看到的金星高度最高的时候。金星于6月1日为西大距(西方最大离角),距离太阳西侧最远。但是,从日出时刻看到的金星高度的意义上来说,这并不是最大的,而是将近两个月后的7月25日高度更高。
另一方面,与离太阳的角度相比,6月1日的距角为45.9度,而今天只有39.5度。就这样,尽管今天更接近太阳,但高度却变高了,这是一件奇怪的事情。这是因为,在最大偏离角的时候,从太阳看到的金星的位置向接近地平线平行的方向远离,而今天比在西大距(西方最大离角)的时候更向上方远离地平线。因此,即使距离太阳的角度很小,也能获得高度。
2025/7/25 冥王星冲日 ★
2025年7月25日14:33冥王星冲日,亮度14.4等,视直径0.1”。日落时冥王星从东方升起,日出时西落,几乎整夜可观测。冲日前后都是一年中观测矮行星冥王星的最好时机。
2025/7/27 月掩轩辕十六
2025年7月27日18时前后,月掩轩辕十六(狮子座ρ星,3.8等),恒星由月球暗缘掩入。
现象 北京时间 地理经度 地理纬度
掩始 16:10:24.7 -38.23964 75.57588
掩甚 17:32:19.3 177.83664 62.02006
掩终 18:54:23.9 143.89680 25.09212
2025/7/27 昔神星掩星
小行星在背景星空中移动时,有时会遮掩远方的恒星,这种现象就是小行星掩星。北京时间2025年7月27日(星期日)20时57分左右,推定直径约42.2公里,视星等13.33等主带小行星昔神星(167)Urda掩12.06等人马座恒星UCAC4 349-145652(J2000.0坐标:赤经α18h36m16.039s,赤纬δ−20°17′32.61”),最长见掩时长5.1秒,减光(亮度下降)1.6等,月球在地平线下,中国中部可见。须提前熟悉观测目标,使用指向定位良好的赤道仪,并配合口径20公分(8吋)以上天文望远镜计时观测,误差勿超过1秒钟。
掩星详情:
https://www.bedekkingen.vvs.be/predictions/asteroids2025/PDF/A25_07038.pdf
轨道数据:
https://www.astorb.com/info/167.html
2025/7/28 火星伴月 ★
7月29日03:45火星合月(视赤经11h40m18s),地心所见火星在月球以北1.29度,南太平洋发生月掩火星。
在7月28日20点左右看西边的低空,可以看到蛾眉月。它的左上角有红色的火星。间隔5度还可以。亮度为1.6等,看起来火星不清晰。这是因为火星和地球的距离很远,有2.1AU(天文单位),火星不断接近太阳。下个月条件会更差,所以这个月看吧。
2025/7/30-31 宝瓶座δ南流星雨极大期(ZHR~25) + 摩羯座α流星雨极大期(ZHR~5) ★★★
2025年7月30日,宝瓶座δ南流星雨(Southern delta Aquariids,00005 SDA)极大期。因为预测最大时刻为14时左右,所以从30日凌晨开始到黎明是容易看的时机。从30日深夜到31日凌晨也有机会。两个晚上都没有月光的影响,观测条件很好。
摩羯座α流星雨(alpha Capricornids,00001 CAP)的活动也将在同一天达到极大期,并且在这个时期,包括英仙座流星雨(Perseids,00007 PER)在内的多个流星雨也在活动,因此预计在天空条件良好的地方,每小时可以看到大约15颗流星。流星在整个天空中飞行,因此不必局限于辐射点所在的宝瓶座方向,可以宽广地观察。
详细来看,分为宝瓶座δ南流星雨(Southern delta Aquariids,00005 SDA)和宝瓶座δ北流星雨(Northern delta Aquariids,00026 NDA),而且宝瓶座ι南流星雨(Southern iota Aquariids,00003 SIA)和宝瓶座ι北流星雨(Northern iota Aquariids,00033 NIA)(ι读作Iota)、摩羯座α流星雨(alpha Capricornids,00001 CAP)也在活动。其中最活跃的是宝瓶座δ南流星雨,但是对于外行人来说,通过观测流星来细致地区分属于哪个流星雨是很难的吧。
流星飞向地球的速度,宝瓶座δ南流星雨为41km/秒,为中等至稍慢的速度。因此流星的移动速度也以从中等到稍慢的速度流动。另一方面,宝瓶座ι南流星雨和宝瓶座ι北流星雨的速度都很慢,只有30km/秒左右。
流星数
美国流星协会(AMS)将每小时能看到至少10颗流星的流星雨定义为大型流星雨(Major Meteor Showers)。
话虽如此,实际上流星出现数量很少。流星最多的“宝瓶座δ南流星雨”也只是每小时最多10颗左右,其他流星雨只有1到3颗左右,非常少。如果被“流星雨”的名字所吸引,带着期待去观测的话,会产生遗憾的结果。不要过度期待比较好吧。
流星雨名称
国际天文学联合会有一个工作组,专门负责追踪流星雨和建立流星雨数据中心(https://www.ta3.sk/IAUC22DB/MDC2022/ ),并为已经确认的流星雨命名。
国际天文学联合会对于流星雨(single shower)、流星群(shower group)的官方正式名称有严格的规定。
翻译时最容易犯错的就是照英文直译。其中,南、北位置命名的流星雨要放在星座名或亮星名后面标示,以免与星座名称冲突、混淆。
避免一些对天文知识缺乏认识的普通民众,误以为天空中有个星座名叫“南宝瓶座”,跟三角座、南三角座一样是天上的星座名称。
不可以叫北宝瓶座δ流星雨,要用宝瓶座δ北流星雨。
不可以叫南宝瓶座δ流星雨,要用宝瓶座δ南流星雨。
不可以叫北北冕座流星雨,要用北冕座北流星雨。
不可以叫南北冕座流星雨,要用北冕座南流星雨。
不可以叫北南冕座流星雨,要用南冕座北流星雨。
不可以叫南南冕座流星雨,要用南冕座南流星雨。
同样道理,没有南南极座、北南极座、南南十字座、北南十字座、南南三角座、北南三角座流星雨的错误叫法。
星座本身的名称是以Borealis表示这个星座位于天球的北方,Australis表示位于天球的南方。而且星座的拉丁名字的南、北是放在后面(例如:北冕座 Corona Borealis、南冕座 Corona Australis),中文是放在前面,不是按照原文顺序译成“冕北座”或者“冕南座”。如果按照原文顺序翻译概念,北冕座南就得译成:South(南)Corona(冕)Borealis(北)座了。
宝瓶座δ南流星雨,表示:辐射点来自宝瓶座δ星南边出现的流星雨。同理,宝瓶座δ北流星雨,表示:辐射点来自宝瓶座δ星北边出现的流星雨。
事实上日本国立天文台翻译这些天文名词时,也是按照国际天文学联合会的原意,将南、北两个流星雨分支,分别译为宝瓶座δ南流星雨和宝瓶座δ北流星雨。
视频观测
4K录像要求:MP4格式,3840×2160(16:9)分辨率,视频编码采用AVS3标准,码率不低于18Mbps;视频编码采用AVS2标准,码率不低于36Mbps。按照新国标执行。
详细天象
2025/07/01 11:45 月球过降交点
2025/07/01 13h 海王星视赤纬最北(δ+0°21′)
2025/07/01 19:09 天秤座δ星氐宿增一极小(大陵五型食变星)
2025/07/02 02:17 月球过天赤道,进入南半球
2025/07/02 19:27 仙后座RZ星极小(大陵五型食变星)
2025/07/03 北冕座S星极大(米拉变星,5.8~14.1等,周期360日)
2025/07/03 03:30 上弦
2025/07/03 14h 水星接近鬼星团“积尸气”(蜂巢星团、M44、NGC2632)
2025/07/04 00:08 仙后座RZ星极小(大陵五型食变星)
2025/07/04 03:55 地球过远日点(1.016644天文单位、1亿5208万7737公里、太阳视直径31′28″)
2025/07/04 06:23 角宿一合月,角宿一在月球以北0.80度(南极洲、阿根廷、智利、福克兰群岛可见月掩角宿一)
2025/07/04 09:03 天王星合金星,天王星在金星以北2.42度
2025/07/04 11h 水星过降交点(黄纬0°)
2025/07/04 12:39 水星东大距(距角25.9°,0.5等,视直径8.1″)
2025/07/04 14h 金星日心黄纬最南(黄纬-3.4°)
2025/07/05 03:18 英仙座β星大陵五极小(大陵五型食变星原型,2.1~3.4等,变光周期2.87日)
2025/07/05 05h 金星接近昴星团(七姊妹星团、M45、Mel22)
2025/07/05 10:29 月球过远地点(40万4627公里,视直径29.5′)
2025/07/05 22:30 海王星留(视赤经00.17h),转为逆行
2025/07/07 仙后座V星极大(6.9~13.4等,周期229日)
2025/07/07 七月白羊座ξ流星雨极大期(ZHR<2),七月白羊座ξ流星雨(July xi Arietids,00533 JXA)出现日期介在6月26日至7月22日之间,速度68.4km/s(中速)
2025/07/07 04:05 小暑,太阳视黄经105°,太阳视赤纬+22°35′39.70″
2025/07/07 05h 土星视赤纬最北(δ+1°19’)
2025/07/08 土星环次大傾角(南3.6°)
2025/07/08 00:07 英仙座β星大陵五极小(大陵五型食变星原型,2.1~3.4等,变光周期2.87日)
2025/07/08 02:19 心宿二合月,心宿二在月球以北0.40度(南极洲、澳大利亚、南非、纳米比亚可见月掩心宿二)
2025/07/08 05h C/2024 X2 (ATLAS)阿特拉斯彗星通过近日点
2025/07/08 18:44 天秤座δ星氐宿增一极小(大陵五型食变星)
2025/07/08 18:53 仙后座RZ星极小(大陵五型食变星)
2025/07/09 13:55 月球视赤纬最南(δ-28°25.8′)
2025/07/09 23:34 仙后座RZ星极小(大陵五型食变星)
2025/07/10 七月飞马座流星雨极大期(ZHR~3),七月飞马座流星雨(July Pegasids,00175 JPE)活动日期介在7月4日至7月28日之间,速度63.8km/s(中速),亮度指标r=3.0(暗淡)
2025/07/10 08h 天王星接近昴星团(七姊妹星团、M45、Mel22)
2025/07/11 双鱼座φ流星雨极大期(ZHR<2),双鱼座φ流星雨(phi Piscids,00372 PPS)出现日期介在7月2日至7月22日之间,速度66.5km/s(中速)
2025/07/11 04:37 望,农历六月十七
2025/07/11 23h P/2005 J1 (McNaught)麦克诺特3号彗星通过近日点(周期6.8年)
2025/07/12 仙女座c流星雨极大期(ZHR<2),仙女座c流星雨(c Andromedids,00411 CAN)出现日期介在6月21日至7月28日之间,速度56.9km/s(中速)
2025/07/12 06:42 月掩冥王星
2025/07/13 09h C/2023 V1 (Lemmon)莱蒙彗星通过近日点
2025/07/14 人马座RT星极大(米拉变星,6.0~14.1等,周期306日)
2025/07/14 飞马座R星极大(米拉变星,6.9~13.8等、周期378日)
2025/07/14 11:54 金星合毕宿五,金星在毕宿五以北3.21度
2025/07/14 03:27 金牛座λ星毕宿八极小(大陵五型食变星)
2025/07/14 15:57 土星留(视赤经00.18h),转为逆行
2025/07/14 18:18 仙后座RZ星极小(大陵五型食变星)
2025/07/14 20:32 水星过远日点(距离太阳0.467AU)
2025/07/15 六月天鹰座北流星雨极大期(ZHR<2),六月天鹰座北流星雨(Northern June Aquilids,00164 NZC)出现日期介在6月26日至7月22日之间,速度37.7km/s(中速)
2025/07/15 仙后座ζ流星雨极大期(ZHR<2),仙后座ζ流星雨(zeta Cassiopeiids,00444 ZCS)出现日期介在7月7日至7月22日之间,速度57.2km/s(中速)
2025/07/15 18:19 天秤座δ星氐宿增一极小(大陵五型食变星)
2025/07/15 22:59 仙后座RZ星极小(大陵五型食变星)
2025/07/16 09:30 月球过天赤道,进入北半球
2025/07/16 18:09 土星合月,土星在月球以南3.83度(瞬时中天经度:-89.62456284)
2025/07/16 18:31 海王星合月,海王星在月球以南2.76度(瞬时中天经度:-84.26595024)
2025/07/17 仙后座R星极大(米拉变星,4.7~13.5等,周期430日)
2025/07/17 03:40 仙后座RZ星极小(大陵五型食变星)
2025/07/17 15:23 水星留(视赤经09.14h),转为逆行
2025/07/18 02:19 金牛座λ星毕宿八极小(大陵五型食变星)
2025/07/18 08:38 下弦
2025/07/20 21:04 天王星合月,天王星在月球以南5.18度(瞬时中天经度:-76.194369)
2025/07/20 21:55 月球过近地点(36万8041公里,视直径32.5′)
2025/07/20 23h 60P/Tsuchinshan紫金山2号彗星通过近日点(周期6.6年)
2025/07/21 室女座R星极大(米拉变星,6.1~12.1等,周期146日)
2025/07/21 22:25 仙后座RZ星极小(大陵五型食变星)
2025/07/22 01:11 金牛座λ星毕宿八极小(大陵五型食变星)
2025/07/22 03:25 金星合月,金星在月球以南7.13度(瞬时中天经度:-152.5367143)
2025/07/22 07:59 白昼月掩五车五(五车五亮度1.7等,海南、台湾地区全程可见)
2025/07/22 17:33 月球视赤纬最北(δ+28°28.7′)
2025/07/22 17:54 天秤座δ星氐宿增一极小(大陵五型食变星)
2025/07/22 21:29 大暑,太阳视黄经120°,太阳视赤纬+20°08′58.73″
2025/07/22 22:19 冥王星最近地球(34.297610125AU)
2025/07/23 仙王座T星极大(米拉变星,5.2~11.3等,周期388日)
2025/07/23 飞马座S星极大(米拉变星,6.9~13.8等,周期319日)
2025/07/23 03:06 仙后座RZ星极小(大陵五型食变星)
2025/07/23 12:19 木星合月,木星在月球以南4.91度(瞬时中天经度:94.74837654)
2025/07/24 13:09 北河三合月,北河三在月球以北2.52度
2025/07/25 室女座S星极大(米拉变星,6.3~13.2等,周期375日)
2025/07/25 天鹅座U星极大(米拉变星,5.9~12.1等,周期463日)
2025/07/25 03:11 朔,农历闰六月初一
2025/07/25 03:25 水星视赤纬最北(δ+12°21’28”)
2025/07/25 14:33 冥王星冲日(亮度14.4等,视直径0.1”)
2025/07/25 19:07 水星合月,水星在月球以南8.07度(瞬时中天经度:24.3241031)
2025/07/26 天鹰座W星极大(7.3~14.3等,周期490日)
2025/07/26 00:03 金牛座λ星毕宿八极小(大陵五型食变星)
2025/07/26 17h 金星与金牛座超新星残骸M1蟹状星云最接近(00°30′)
2025/07/27 小狮座R星极大(米拉变星,6.3~13.2等,周期372日)
2025/07/27 04:24 轩辕十四合月,轩辕十四在月球以南1.33度
2025/07/27 18h 月掩轩辕十六(狮子座ρ星,3.8等),恒星由月球暗缘掩入
2025/07/27 21:50 仙后座RZ星极小(大陵五型食变星)
2025/07/28 南鱼座流星雨极大期(ZHR~5),南鱼座流星雨(Piscis Austrinids,00183 PAU)出现日期介在7月15日至8月10日之间,速度35km/s(偏慢),亮度指标r=3.2(暗淡),α=341°,δ=-30°
2025/07/28 七月天龙座γ流星雨极大期(ZHR~5),七月天龙座γ流星雨(July gamma Draconids,00184 GDR)出现日期介在7月23日至8月3日之间,速度27.3km/s(慢速),亮度指标r=3.0(暗淡)
2025/07/28 01:47 英仙座β星大陵五极小(大陵五型食变星原型,2.1~3.4等,变光周期2.87日)
2025/07/28 05h C/2025 K4 (Siverd)西弗德彗星通过近日点
2025/07/28 16:30 月球过降交点
2025/07/29 02:31 仙后座RZ星极小(大陵五型食变星)
2025/07/29 03:45 火星合月,火星在月球以北1.29度(南太平洋月掩火星)(瞬时中天经度:-67.85070138)
2025/07/29 10:02 月球过天赤道,进入南半球
2025/07/30 14h 宝瓶座δ南流星雨极大期(ZHR~25),7颗/时,宝瓶座δ南流星雨(Southern delta Aquariids,00005 SDA)出现日期介在7月12日至8月23日之间,速度41km/s(慢速),亮度指标r=2.5(中等),α=340°,δ=-16°,母天体96P/Machholz梅克贺兹1号彗星?
2025/07/30 14h 摩羯座α流星雨极大期(ZHR~5),2颗/时,摩羯座α流星雨(alpha Capricornids,00001 CAP)出现日期介在7月3日至8月15日之间,速度23km/s(慢速),亮度指标r=2.5(中等),α=307°,δ=-10°,母天体169P/NEAT尼特22号彗星
2025/07/30 19h 小行星智神星与海豚座α星瓠瓜一最接近(00°13′)
2025/07/30 22:36 英仙座β星大陵五极小(大陵五型食变星原型,2.1~3.4等,变光周期2.87日)
2025/07/31 小犬座S星极大(米拉变星,6.6~13.2等,周期333日)
2025/07/31 14:29 角宿一合月,角宿一在月球以北1.03度(南极洲可见月掩角宿一)
说明
注1:凡称行星合月、恒星合月、行星合恒星、行星合行星,皆指地心视赤经相同;惟合日、冲日则用地心视黄经。
注2:瞬时中天经度是指行星合月与恒星合月、行星合恒星与行星合行星时,由北极向南极的同一地理经度都能同时看到它们相合时的瞬时中天(纬度不必考虑)。例如2025/06/01/17:49火星合月(视赤经合),地处东经106.8度经线上可以看到它们同时到达中天。中天即是当地的视子午线。参见紫金山天文台官方微信说明。
注3:部分天象(彗星、流星雨、变星等)由于误差原因,无法(也不可能)精确到分钟。
天象载太阳、月球和行星的动态以及其他天文现象,包括:
(1)行星的地心天象(冲日、合日、方照、留、内行星东西大距以及金星最亮、火星最近地球等)和日心天象(过近日点和远日点、纬度最北和最南、过升交点和过降交点等);
(2)日月食概况;
(3)朔、望、两弦,月球过近地点和远地点;
(4)月掩行星或掩四颗亮恒星(毕宿五即金牛座α星、轩辕十四即狮子座α星、角宿一即室女座α星、心宿二即天蝎座α星),行星合月,行星之间以及行星与五颗亮恒星(除上列四颗外,另加北河三即双子座β星)之间相合。掩星和合月如果距离合朔24h之内,即不列出,行星之间相合或行星与恒星相合如果距离太阳10°以内,也不列出。
名词解释
现把各种天象分别说明如下:
天顶每时出现率(Zenithal Hourly Rate,Rate:率,简称ZHR),是天文学专有名词。来自中国天文学会天文学名词审定委员会审定发布的天文学专有名词中文译名。假设辐射点位于仰角90度的天顶,在理想情况下,一个肉眼视力能够看到6.5等星的观测者可以看见的流星数量最多的流量值。实际能看见的会低于此一数值。
ZHR不应该翻译成“每小时天顶流星数”,国际流星组织(IMO)没有“ZHN=Zenith Hourly Number(天顶每小时流星数)”、“ZHF=Zenith Hourly flow quantity(每小时天顶流量)”这一类的词。维基百科和百度百科根据国际流星组织2017年12月21日上架的《2018流星雨日历》中文版开始,将ZHR翻译为“天顶每时出现率”。开源星空模拟软件Stellarium(虚拟天文馆)亦在最新的25.1版本中更新了zh_CN和zh_HK的翻译。
预报当地可见的流星数(Number),可按照下列公式计算:
其中,N为可见流星数目(颗);Teff为观测时长;K为云量遮盖率(百分比);lm为可见最暗星星的亮度(最佳条件为6.5等,实际需考虑当地光污染因素);hR为流星雨辐射点距地平线的仰角(地平高度);r为亮度指标,r值通常介于2.0(明亮)到3.5(暗淡)之间。
晨昏蒙影(台湾名:曙暮光):日出前和日没后由高空大气散射太阳光引起的天空发亮的现象称为晨昏蒙影;在日出前的叫做晨光,在日没后的叫做昏影。太阳中心在地平下6°时称为民用晨光始或民用昏影终,这时光线暗淡,需要人工照明。太阳中心在地平下18°时称为天文晨光始或天文昏影终,这时天空完全黑暗,可以看到目视最暗的星。
月相是月球环绕地球公转时,地球、月球、太阳之相对位置的变化,地球上的观测者从不同角度看到月球被太阳照亮的部分,造成月相盈亏圆缺之变化。月相盈亏周期平均是29.530588日,历法中之朔望月源于此。
朔、蛾眉月、上弦、盈凸月、望、亏凸月、下弦,残月分别是月球视黄经超过太阳视黄经0、45、90、135、180、225、270、315度的时刻。
阴历是按月球的月相周期来安排的历法,它的一年有12个朔望月,约354或355日。主要根据月球绕地球运行一周时间为一个月,称为朔望月,大约29.530588日,大月有30日、小月有29日。
月龄是指从新月为起始,在一个朔望月周期内,出现各种月相所经历的天数。月龄的数值通常用带一位小数的数字表示,比如月龄7.4是上弦月,月龄14.8是满月,月龄22.2是下弦月。因此月龄和阴历是有关连的,只不过阴历只显示朔望月每日的整数,而月龄是计算月相所经历的天数,为求更加准确,很多时会显示至小数后一个位(甚至几个位)。如果知道确实的月龄,便能推算出当时月球大致的形状、出没时刻及所在方位。
月掩星:月球在天空中每月移动一周,每小时约东移半度多,相当于月球的视角直径。月球移动时常将恒星和行星掩蔽起来,这种现象称为月掩星。观测月掩星可以测定观测者的地理坐标、研究双星、测定太阳视差及月球位置等,是业余天文学家感兴趣的观测项目之一。专业天文学家亦需要仰赖月掩射电源来求出射电源的准确位置。
合月、月掩星、行星间和行星与恒星相合:行星或恒星合月以及行星之间、行星与恒星相合都是指视赤经相合而言。行星在天球上运行的路线以及四颗亮恒星(毕宿五、轩辕十四、角宿一和心宿二)都很接近黄道,因而月球18.6年交点运动周期内有机会掩蔽它们。
视赤经和视赤纬系以当天真春分点和真赤道为准,章动长周期项和短周期项以及行星光行差都以包括在内,但没有包括太阳引力场引起的光线偏转的影响。视位置由真位置加行星光行差改正得出,其关系式为
α视=α真-0.00577552×Δ×δα
δ视=δ真-0.00577552×Δ×δδ
其中Δ为行星的地心距,δα和δδ分别为赤经和赤纬的每日变化。
地心距为行星中心至地心的真距离,不包括光行差的影响。
合日和冲日:外行星或小行星视黄经与太阳视黄经相同的时候称为合日,相差180度的时候叫做冲日。内行星(水星和金星)的合日有上合和下合之分,上合是行星在太阳之后,即太阳在内行星与地球之间,下合是行星在太阳之前,即行星在太阳与地球之间,上合的时候,行星是顺行,即行星由西向东移动,下合时是逆行,即行星由东向西移动。行星相邻两次合日(或冲日)的平均间隔称为会和周期,根据行星的平均运动得出行星的会和周期如下:
水星 115.88日 土 星 378.09日
金星 583.92日 天王星 369.66日
火星 779.94日 海王星 367.48日
木星 398.88日 冥王星 366.72日
由于轨道偏心率和摄动的影响,实际间隔与会和周期有一定的差异。
留:由于地球和行星绕日运动时运行速度和相对位置的不同,行星在天空的视运动有时顺行(自西向东),有时逆行。顺行和逆行之间有一个时刻行星看来是停留不动的,这叫做留。顺行而留,留后逆行叫做顺留;逆行而留,留后顺行叫做逆留。内行星发生在上合日以后,外行星发生在冲日以后。
东大距和西大距:外行星对太阳的角距可以为任何数值,在180度时为冲日。而内行星由于轨道是在地球轨道内侧,所以从地球上看,它们对太阳的角距不能超过某种限度,并且没有冲日现象。内行星在太阳之东(或西)的最大角距称为东(或西)大距。水星在下合日前后约20天达东大距或西大距,由于水星轨道偏心率比较大,最大角距变化在18度~28度之间。金星在下合日前后70天左右达东西大距,角距约为46度~48度。内行星发生的天象其循环总是这样:下合-留-西大距-上合-东大距-留-下合。
方照:对外行星而言,行星视黄经超过太阳视黄经90度和270度时为方照,在太阳以东90度时称为东方照,在太阳以西90度时为西方照。
距角:是自地球看行星与太阳之间的角度,从太阳向东或向西计算,由0°至180°,但由于行星轨道与黄道有一定的倾斜,行星合日和冲日时,距角不一定恰好是0°或180°。
距角E是用下式计算:
cosE=(R²+△²-r²)/2R△
其中R和r分别是地球和行星的日心向径,△是行星的地心距离。
金星最亮:从地球看金星,也像月球一样有盈亏晦明现象。金星约在下合日前后36天,或东大距之后西大距之前35天为最亮。金星的会合周期约为584天,所以它的最亮日期有时全年都没有,有时一年有两次。
关于金星的亮度计算采用下列公式计算:
m=-4.47+5lgrΔ+0.0103i+0.000057i²+0.00000013i³,2.2<i<163.6;
0.98+5lgrΔ-0.0102i,163.6<i<170.2。
i以“度”为单位,r、Δ以“天文单位”为单位。
位相角采用下列公式计算:
设L与B表示其日心的、l与b表示其地心的黄经与黄纬,θ表示太阳的黄经,且将其黄纬略而不计。设在太阳一地球一行星三点所组成的平面三角形内,以σ表示地球所在的角,σ'表示太阳所在的角,则
cosσ=cos(θ-l)cosb
cosσ'=-cos(θ-L)cosB
i=180-(σ-σ')
σ角是地面观测者所看的行星对于太阳的距角,常小于直角;σ'角在一或二象限内,按其余弦的符号而决定。
火星最近地球:火星在一回合周期里,有一次距离地球最近,发生在冲日附近。2025年1月12日21时37分,火星最近地球。
过近日点和过远日点:假使不考虑摄动影响,行星的轨道为一椭圆,而太阳在其焦点上,行星在轨道上离太阳最近的一点,称为近日点,最远的一点称为远日点。所列过近日点和过远日点日期是行星向径为极小或极大的日期,也就是已经考虑摄动的影响,这与由平均轨道根数近日点黄经等于0度或180度的日期稍有不同。
行星纬度最南最北:是日心黄纬最南、最北的时刻,最北时黄纬为正,最南时黄纬为负。
仙后座RZ星(HIP 13133)是仙后座中的一颗恒星,以食变星闻名。学名为RZ Cassiopeiae(缩写为RZ Cas)。1906年被发现。它的变化周期仅为1.1953天。亮度在6.18等至7.72等之间变化。由于它的快速变暗和变亮变化以及可以用双筒望远镜轻松观察到其亮度,因此它在天文爱好者中很受欢迎!
仙后座RZ星在阁道一(仙后座ι星)附近。通过连接阁道三(仙后座δ星)和阁道二(仙后座ε星,是“W”最左边的恒星)而在仙后座ε星方向上以相同的长度寻找4.5等星就是仙后座ι星。一旦找到了仙后座ι,您就可以使用外部链接星图轻松找到仙后座RZ。它位于银经132.89、银纬9.07,其B1900.0坐标为赤经α2h39m54.1s、赤纬δ+69°9.07′49″。
预报的时间同时适用于所有东八时区(UTC+08:00)的地方,包括:中国、蒙古、菲律宾、新加坡、马来西亚、文莱、西澳大利亚。
参考资料
1、《2025年中国天文年历》科学出版社,ISBN: 9787030770585
2、《十年袖珍月历 2025-2034年》气象出版社,ISBN: 9787502981570
3、李广宇、张培瑜著《PMOE2003行星历表框架》,《紫金山天文台台刊》第22卷,3~4期(2003年12月)
4、《大众万年历 1901-2050年》1994年10月第2版,上海科学技术出版社
5、美国流星协会
6、有趣天文奇观
2025年天象预报资料,可在“有趣天文奇观”网站下取得,欢迎多加利用!http://interesting-sky.china-vo.org/categories/year/