数据来源:中国科学院紫金山天文台 资料整理:杨旸、高良超、ZY-LunarCrater 时刻系东经120度标准时(北京时间)
天象包括行星天象(合日、冲日、凌日、大距、行星最接近地球、过远近日点、升降交点、纬度最南最北,以及行星相合、行星合恒星等),月相,月球过远近地点、月掩行星和恒星,日月食,二分二至,彗星,流星雨,变星等诸多天文事件。
今年的夏至是发生于6月21日10时42分,这天的太阳直射北回归线,之后,太阳直射地球的纬度回转往南,对北半球而言,是年度中白昼最长的一天。
6月份晚间约20时过后,在东方视野佳且光害少的地方,就能见到美丽的银河自东南方至东北方地平线上随着时间冉冉升起!其中东南方人马座内的银河,因为是本银河系的中心所在,是视觉中银河最明亮的所在,宛如在夜空中一朵淡淡的薄云;而在东方至东北方的银河上,则可见明亮的夏季大三角伴随闪烁在地平上空。在整个夏季银河中,有许多明亮的星云与星团夹杂其中,民众若是利用简易的双筒望远镜,即可透过星图或APP,在银河里面看到这些白雾状的小天体。
2025年3月12日凌晨,国际天文学联合会小行星中心宣布土星卫星总数达到创纪录的274颗。2025年4月30日,国际小行星中心又宣布木星新增2颗卫星,使得木星卫星数量达到了97颗。
夏季认星歌(小星星) 斗柄南指夏夜来,天蝎人马紧相挨; 顺着银河向北看,天鹰天琴两边排; 天鹅飞翔银河歪,牛郎织女色青白; 心宿红星照南斗,夏夜星空记心怀。 (取自台北市立天文科学教育馆)
[ 合、冲:黄经基准。留:赤经基准。 ] 太阳: 由金牛座运行至双子座。5日17时57分芒种;21日10时42分夏至,太阳视赤纬最北。6日入梅。太阳视星等-26.8等,视直径31.5角分。 水星:由金牛座经双子座移至巨蟹座,顺行。上半月接近太阳不易看见,下半月于日没后可见于西北西方低空。视星等-2.3→+0.2等,视直径5.1”→7.5”。 金星: 由双鱼座经白羊座移至金牛座,顺行。1日西大距。约于凌晨2-3时于东偏北方地平升起,日出前可见于东方附近天空。视星等-4.4→-4.2等,视直径23.9”→18.0”。 火星: 在狮子座顺行。于日没后可见于西方附近天空。上、下半月分别于夜晚23、22时没入西北西方地平。视星等+1.3→+1.5等,视直径5.5”→4.9”。 木星: 由金牛座移至双子座,顺行。24日合,在太阳背后不易看见。视星等-1.9等,视直径32.4”→32.0”。 土星: 在双鱼座顺行。上、下半月分别约于凌晨1时、夜晚24时于东方地平升起,23日西方照,日出前可见于东南方附近天空。土星环非常细。视星等+1.1→+1.0等,视直径16.8”→17.7”。 天王星: 在金牛座顺行。日出前可见于东方。视星等+5.8等,视直径3.4”→3.5”。 海王星: 在双鱼座顺行。日出前位于东南方。视星等+7.9等,视直径2.3”。 冥王星: 在摩羯座逆行。日出前位于西南方。视星等+14.4等,视直径0.1”。
2025年6月1日11:29金星西大距(距角45.85度,视星等-4.41等,视直径23.89”),位于双鱼座旁,日出前可见于东方附近天空。6月1日这一天凌晨,东边天空闪耀的“启明星”金星距离太阳最远,为西大距(西方最大离角)。这一季的金星从4月中旬左右到10月中旬左右可以在凌晨的天空看到。更令人惊喜的是,土星也会一同出现在东方天空,两颗行星相伴而行,为晨曦增添几分星光闪耀的诗意。
2025年6月1日17:49火星合月(视赤经9h36m34s),地心所见火星在月球以南1.39度的地方。从6月1日傍晚开始到深夜,在西方的天空中可以看到上弦前2天的月亮和火星非常接近。在月亮的左下方有以1.3等红色发光的火星。20点左右的间隔不到1度,非常接近,是值得一看的现象。不仅可用肉眼和双筒望远镜观察,还可用天文望远镜观察。下一次接近是6月30日。
上弦月的时候,在月面的缺口处可以看到像字母“X”一样的地形。这种现象就是“月面X”,从附近的维尔纳(Werner)撞击坑的名字来看,在国外被称为“WernerX”或“LunarX”。月面X似乎很早就被看到了,2004年由加拿大的Chapman等人报告后,变得广为人知。月面X并不是每次上弦都能看到的。因为持续时间只有1小时左右,所以机会难得。 2025年6月3日21:51月面X浮现,月面X的地理基准点经纬度坐标为0.9°E、25.3°S,月面余经度(selenographic colongitude)为358°,最佳观察时间为预报时刻前后一小时。
2025年6月5日17:57芒种,太阳视黄经75°,太阳视赤纬+22°35’。芒种是一个反映农业物候现象的节气,“芒”字指麦类等作物的收获,“种”字是指谷黍类作物的播种,“芒种”二字表明一切作物都在“忙种”了,是农事最为繁忙的时节。《月令七十二候集解》记载:“五月节,谓有芒之种谷可稼种矣。”
6月8日凌晨4点钟,土卫三偏食土卫四(半影食始04时02分46秒,初亏04时03分23秒,食甚04时03分53秒,复圆04时04分24秒,半影食终04时05分00秒,历时134秒,最小角距0.08角秒,减光0.5等),可用天文望远镜追踪观测土卫四。
6月10日凌晨2点30分前后发生月掩房宿增四(4.6等),掩始现象:恒星从月球暗缘消失。由于发生在满月前一天且位置较低,请在西方低空无遮挡处,用小型天文望远镜追踪观测。
现象 北京时间 地理经度 地理纬度 掩始 00:23:28.7 42.97428 52.43358 掩甚 01:56:46.6 88.474 42.28226 掩终 03:30:11.0 121.03676 29.85658 掩星时长89分01秒 掩带宽10052.1公里
月球绕地球运行的轨道被称为白道。月球轨道对黄道平面的倾角是5.145度,以18.6年的周期变化。全年天黄道最靠南的时候是夏至。如果天白道向南侧抖动最大的时机重合的话,月球的位置就会最靠近南侧。2025年6月11日15:44望,地心所见月球位于天黄道下方很多,为年度最低满月,距离地球39万9741.01公里。12日07:42月球视赤纬最南(δ-28°24.1′),离满月的时刻很近。所以6月11日是近年来罕见的在较低位置的满月。
2025年6月15日凌晨02:37英仙座β星大陵五极小(大陵五型食变星原型,2.1~3.4等,变光周期2.87日)。 大陵五的亮度通常维持在2.1等左右,但每2.86天中就会有接近半天时间降至3.4等左右。这一亮度变化,是由大陵五Aa1、大陵五Aa2相互掩食引起的,因此大陵五也被称为食变星。当大陵五Aa2经过大陵五Aa1前方,并将其全部掩食,整个大陵五系统的亮度会明显降低,在3.4等左右,持续大约10小时。掩食结束,大陵五Aa1、大陵五Aa2分开,大陵五亮度恢复到2.1等左右。这是因为大陵五Aa1的质量、视星等、表面温度均高于大陵五Aa2,但半径小于大陵五Aa2。二者之间距离很近,仅有0.062个天文单位。当大陵五Aa1掩食大陵五Aa2时,亮度仅稍稍降低,肉眼很难察觉。夏季想要观测大陵五必须等到后半夜。
英仙座β星大陵五(大陵五型食变星原型) 赤经(J2000):03h08m10.13s 赤纬(J2000):+40°57’20.3” 距离:~93光年 极大:2.12等 极小:3.39等 周期:2.867351日
天文学家研究表明,银河系内约半数以上的恒星存在于双星或多星系统中。其中,食双星(Eclipsing Binary)是指双星在相互绕转时彼此掩食造成亮度发生周期性变化的系统。此类系统的光变曲线蕴含双星轨道和子星的参数信息,从而可以精确测定双星中每颗子星的质量和半径,因此成为获取准确恒星参数的重要观测对象。部分食双星表现出极端的光变特征,包括显著的亮度变化和特殊形态的掩食光变曲线。这些独特的观测特征通常暗示双星系统存在极端物理性质,如极端的温度比和显著膨胀的子星,这些现象可能与其演化过程或物质转移密切相关。以英仙座β星(大陵五)为典型代表的大陵五型食变星系统,其核心特征是质量较大的子星处于主序阶段,而质量较小的子星却已演化成亚巨星或红巨星。研究这类大陵五型食变星系统,可以用于校准恒星演化模型、研究双星中的恒星活动、物质转移过程,以及物质转移后的恒星等。
研究人员提出了基于极端光变特征的筛选条件:一是两次掩食深度比大于20,二是光变振幅大于0.3星等。与此同时,要求光谱中存在H-alpha发射线。这些标准旨在识别出具有显著温度差异且正处于物质转移阶段的双星系统。
2025年6月17日12:22火星合轩辕十四(视赤经10h09m43s),地心所见火星在轩辕十四以北0.79度的地方,不过此时为白昼无法观测。可在20点左右朝正西方向看,首先找到北斗七星中最靠近斗柄的地方,在天权和天玑两颗星之间画一条假想线。然后将这条线向下延伸大约八倍,就会看到狮子座的一等星轩辕十四在比较低的位置。在右上角看到的红星就是火星,亮度为1.4等,是0.7度的狭窄间隔。第二天18日也是0.7度的间隔。选择西方附近没有高山、高楼及树木遮挡的地方,用双筒或小型天文望远镜观测。
6月19日11:58土星合月(视赤经0h08m49s),地心所见土星在月球以南3.39度的地方;12:27海王星合月(视赤经0h09m50s),地心所见海王星在月球以南2.47度的地方,但此时为白昼无法观测。可提前于6月19日凌晨3点左右眺望东南方向,就能看到月亮。因为当天03:19是下弦,所以是半月。土星在它的左下方,约4度的地方。紧挨着土星的左侧,约1.1度外有蓝绿色的海王星。虽然是8等,但位置很容易找到,可用双筒或小型天文望远镜观测。
2025年6月21日10:42夏至,太阳视黄经90°,太阳视赤纬最北+23°26’。夏至是二十四节气中的第十个节气。此时太阳直射地面的位置到达一年的最北端,几乎直射北回归线,此时北半球的白昼最长,且越往北越长。这期间大部分地区气温较高、日照充足、作物生长很快,此时的降水对农业产量影响很大,有“夏至雨点值千金”之说。夏至日后,通常再过二三十天,就是一年中最热的天气了。
西方照是指外行星距离太阳西侧90度。如果从地球北极上空俯瞰太阳系,按照太阳、地球、土星的顺序连接而成的直线的相交角度为90度。2025年6月23日凌晨02:36土星西方照,标志着土星的观测条件越来越好。一般来说,西方照的时候,日出的时候位于南方。但是这个时期离夏至很近,日出时间很早,所以实际上日出时看到的方向是东南。虽然还在很低的位置,但是之后在一点点提高高度的同时,逐渐变得容易观测。土星亮度为1.0等,环非常细。用天文望远镜看的话,环可能看起来像是直线状地刺向了土星主体。
合日指的是行星朝着和太阳相同的方向。与太阳同方向的木星被太阳耀眼的光干扰,将无法观测。2025年6月24日23:18木星合日(地心所见木星在太阳以南0.1度,-1.9等,视直径32.0″),木星在太阳背后,不可见。
6月27日凌晨4点30分前后,土卫三偏食土卫四(半影食始04时36分59秒,初亏04时37分37秒,食甚04时38分26秒,复圆04时39分15秒,半影食终04时39分53秒,历时174秒,最小角距0.085角秒,减光0.4等),可用天文望远镜在东南方追踪观测土卫四。
6月27日14:02水星合月(视赤经8h12m14s),地心所见水星在月球以南2.85度的地方。6月27日傍晚的西方低空,可以看到月龄2的细月牙和水星纵向排列。水星在月亮下面。0.2等的水星肉眼也能看到,但使用双筒望远镜更容易看到。作为水星来说,全年都是非常好的条件,所以这次机会请不要错过哦。
6月30日09:05火星合月(视赤经10h37m15s),地心所见火星在月球以南0.21度的地方,如此近的距离,在北太平洋发生月掩火星(掩终:火星由月球暗缘出现)。30日晚上20点左右朝西方低空看,首先映入眼帘的是3天后为上弦的盈凸月。然后,右下角是火星。间隔约5度,相当于手臂打直后,食指、中指与无名指三指合并顶端的宽度。虽然亮度变暗到了1.5等,但还是能在城市里用肉眼看见。下个月会再接近一点,但高度下降,条件变差。
4K录像要求:MP4格式,3840×2160(16:9)分辨率,视频编码采用AVS3标准,码率不低于18Mbps;视频编码采用AVS2标准,码率不低于36Mbps。按照新国标执行。
2025/06/01 11:29 金星西大距(距角45.9°,视星等-4.4等,视直径23.8”),日出前可见于东方附近天空 2025/06/01 17:49 火星合月,火星在月球以南1.39度(瞬时中天经度:106.8593576) 2025/06/02 武仙座τ流星雨极大期(ZHR~Var),武仙座τ流星雨(tau Herculids,00061 TAH)出现日期介在5月19日至6月14日之间,亮度指标r=2.2 2025/06/02 天龙座Y星极大(7.5~14.9等,周期326日) 2025/06/02 10:11 轩辕十四合月,轩辕十四在月球以南1.74度 2025/06/02 22:19 仙后座RZ星极小(大陵五型食变星) 2025/06/03 11:41 上弦 2025/06/03 20:50 天秤座δ星氐宿增一极小(大陵五型食变星) 2025/06/03 21:51 月面X浮现 2025/06/04 03:00 仙后座RZ星极小(大陵五型食变星) 2025/06/04 03:56 土卫七半影食土卫五(半影食始03时53分25秒,食甚03时55分31秒,半影食终03时57分36秒,历时251秒,最小角距0.131角秒,减光0.0等) 2025/06/04 19:35 月球过天赤道,进入南半球 2025/06/05 人马座R星极大(米拉变星,6.7~13.0等,周期268日) 2025/06/05 17:57 芒种,太阳视黄经75°,太阳视赤纬+22°35’ 2025/06/06 天秤座RU星极大(7.2~14.8等,周期317日) 2025/06/06 23:00 角宿一合月,角宿一在月球以北0.54度 2025/06/07 猎户座U星极大(米拉变星,4.8~13.0等,周期377日) 2025/06/07 18:44 月球过远地点(40万5553km,视直径29.47’) 2025/06/07 21h 白昼白羊座流星雨极大期(国际流星组织ZHR~30;美国流星协会ZHR<2,黎明可见2颗/时),白昼白羊座流星雨(Daytime Arietids,00171 ARI)出现日期介在5月22日至7月2日之间,适合电波观测,规模最大的白昼流星雨 2025/06/08 04:04 土卫三偏食土卫四(半影食始04时02分46秒,初亏04时03分23秒,食甚04时03分53秒,复圆04时04分24秒,半影食终04时05分00秒,历时134秒,最小角距0.08角秒,减光0.5等) 2025/06/08 21:45 仙后座RZ星极小(大陵五型食变星) 2025/06/09 白昼英仙座ζ流星雨极大期(中,肉眼看不见),白昼英仙座ζ流星雨(Daytime zeta Perseids,00172 ZPE)出现日期介在5月20日至7月5日之间,电波观测,与171ARI时间重叠,规模为半分程度 2025/06/09 04:15 水星合木星,水星在木星以北1.97度 2025/06/10 蛇夫座X星极大(米拉变星,5.9~8.6等,周期338日) 2025/06/10 02:26 仙后座RZ星极小(大陵五型食变星) 2025/06/10 19:08 心宿二合月,心宿二在月球以北0.30度 2025/06/10 20:25 天秤座δ星氐宿增一极小(大陵五型食变星) 2025/06/11 02h 水星日心黄纬最北(黄纬+7.0°) 2025/06/11 02h 水星视赤纬最北(δ+25°18’45”) 2025/06/11 15:44 望,年度最低满月,39万9741.01km 2025/06/12 07:42 月球视赤纬最南-28°24.1′ 2025/06/12 10:21 金星过远日点,距离太阳0.728AU 2025/06/13 21h C/2024 G2 (ATLAS)阿特拉斯彗星通过近日点 2025/06/14 01h C/2024 A1 (ATLAS)阿特拉斯彗星通过近日点 2025/06/14 11:23 木星视赤纬最北(δ+23°16’42”) 2025/06/14 21:11 仙后座RZ星极小(大陵五型食变星) 2025/06/15 02:37 英仙座β星大陵五极小(大陵五型食变星原型,2.1~3.4等,变光周期2.87日) 2025/06/15 07h P/2005 T5 (Broughton)布劳顿彗星通过近日点(周期19.6年) 2025/06/16 01:52 仙后座RZ星极小(大陵五型食变星) 2025/06/16 19h 65P/Gunn甘恩彗星通过近日点(周期7.7年) 2025/06/17 白昼金牛座λ流星雨极大期(不明),白昼金牛座λ流星雨(Daytime lambda Taurids,00325 DLT),国际流星组织(IMO)没有提供信息。各要素来自国际天文学联合会(IAU) 2025/06/17 12:22 火星合轩辕十四,火星在轩辕十四以北0.79度 2025/06/17 20h C/2024 L2 (PanSTARRS)泛星彗星通过近日点 2025/06/17 20:00 天秤座δ星氐宿增一极小(大陵五型食变星) 2025/06/19 03:19 下弦 2025/06/19 04:52 月球过天赤道,进入北半球 2025/06/19 11:58 土星合月,土星在月球以南3.39度(瞬时中天经度:35.14873173) 2025/06/19 12:27 海王星合月,海王星在月球以南2.47度(瞬时中天经度:27.94858701) 2025/06/20 02:38 土卫五半影食土卫一(半影食始02时38分05秒,食甚02时38分12秒,半影食终02时38分19秒,历时15秒,最小角距0.178角秒,减光0.0等) 2025/06/20 20:36 仙后座RZ星极小(大陵五型食变星) 2025/06/21 猎户座S星极大(7.2~13.1等,周期434日) 2025/06/21 10:42 夏至,太阳视黄经90°,太阳视赤纬最北+23°26’ 2025/06/22 01:17 仙后座RZ星极小(大陵五型食变星) 2025/06/23 02:36 土星西方照(双鱼座,亮度1.0等,视直径17.5”) 2025/06/23 11:36 天王星合月,天王星在月球以南4.99度(瞬时中天经度:91.61981463) 2025/06/23 12:44 月球过近地点(36万3178km,视直径32.9′) 2025/06/23 16:29 海王星西方照(双鱼座,亮度7.9等,视直径2.3”) 2025/06/24 麒麟座SY星极大(米拉变星,7.0~14.6等,周期423日) 2025/06/24 半人马座TW星极大(6.7~13.0等,周期271日) 2025/06/24 19:34 天秤座δ星氐宿增一极小(大陵五型食变星) 2025/06/24 23:18 木星合日,木星在太阳背后,不可见 2025/06/25 牧夫座R星极大(米拉变星,6.2~13.1等,周期223日) 2025/06/25 天鹅座R星极大(米拉变星,6.1~14.4等,周期426日) 2025/06/25 六月飞马座ι流星雨极大期(ZHR<2),六月飞马座ι流星雨(June iota Pegasids,00431 JIP)出现日期介在6月25日至6月27日之间,电波观测,肉眼看不见 2025/06/25 双鱼座φ流星雨极大期(ZHR<2),双鱼座φ流星雨(phi Piscids,00372 PPS)出现日期介在6月13日至7月5日之间,电波观测,肉眼看不见 2025/06/25 09:31 月球视赤纬最北(δ+28°24.5′) 2025/06/25 17:19 木星合月,木星在月球以南5.05度(瞬时中天经度:40.1879991) 2025/06/25 18:32 朔 2025/06/26 01:41 土卫七半影食土卫五(半影食始01时37分49秒,食甚01时41分21秒,半影食终01时44分54秒,历时424秒,最小角距0.144角秒,减光0.0等) 2025/06/26 02:34 土卫二环食土卫三(半影食始02时32分43秒,初亏02时33分05秒,环食始02时33分09秒,食甚02时33分35秒,环食终02时34分00秒,复圆02时34分04秒,半影食终02时34分26秒,历时103秒,最小角距0.003角秒,减光0.3等) 2025/06/26 10h 小行星智神星与海豚座球状星团NGC 7006最接近(1°04′) 2025/06/26 20:02 仙后座RZ星极小(大陵五型食变星) 2025/06/27 03:49 北河三合月,北河三在月球以北2.49度 2025/06/27 04:38 土卫三偏食土卫四(半影食始04时36分59秒,初亏04时37分37秒,食甚04时38分26秒,复圆04时39分15秒,半影食终04时39分53秒,历时174秒,最小角距0.085角秒,减光0.4等) 2025/06/27 05h C/2025 B1 (PanSTARRS)泛星彗星通过近日点 2025/06/27 14:02 水星合月,水星在月球以南2.85度,日没时水星高度最大(瞬时中天经度:116.8937403)
2025/06/27 19h 六月牧夫座流星雨极大期(ZHR~Var,约2颗/时),六月牧夫座流星雨(June Bootids,00170 JBO)出现日期介在6月22日至7月2日之间,亮度指标r=2.2 2025/06/28 白昼金牛座β流星雨极大期(微弱,看不见),白昼金牛座β流星雨(Daytime beta Taurids,00173 BTA)出现日期介在6月5日至7月17日之间,未被检测到 2025/06/28 00:43 仙后座RZ星极小(大陵五型食变星) 2025/06/29 室女座U星极大(米拉变星,7.4~13.5等,周期206日) 2025/06/29 16:25 海王星合土星,海王星在土星以北0.99度 2025/06/29 19:06 轩辕十四合月,轩辕十四在月球以南1.48度 2025/06/30 00:46 土卫一半影食土卫四(半影食始00时45分34秒,食甚00时45分57秒,半影食终00时46分19秒,历时45秒,最小角距0.13角秒,减光0.0等) 2025/06/30 09:05 火星合月,火星在月球以南0.21度(北太平洋月掩火星,掩终:火星由月球暗缘出现)(瞬时中天经度:-135.2017018) 2025/06/30 15h C/2023 H5 (Lemmon)莱蒙彗星通过近日点
注1:凡称行星合月、恒星合月、行星合恒星、行星合行星,皆指地心视赤经相同;惟合日、冲日则用地心视黄经。 注2:瞬时中天经度是指行星合月与恒星合月、行星合恒星与行星合行星时,由北极向南极的同一地理经度都能同时看到它们相合时的瞬时中天(纬度不必考虑)。例如2025/06/01/17:49火星合月(视赤经合),地处东经106.8度经线上可以看到它们同时到达中天。中天即是当地的视子午线。参见紫金山天文台官方微信说明。 注3:部分天象(彗星、流星雨、变星等)由于误差原因,无法(也不可能)精确到分钟。
天象载太阳、月球和行星的动态以及其他天文现象,包括: (1)行星的地心天象(冲日、合日、方照、留、内行星东西大距以及金星最亮、火星最近地球等)和日心天象(过近日点和远日点、纬度最北和最南、过升交点和过降交点等); (2)日月食概况; (3)朔、望、两弦,月球过近地点和远地点; (4)月掩行星或掩四颗亮恒星(毕宿五即金牛座α星、轩辕十四即狮子座α星、角宿一即室女座α星、心宿二即天蝎座α星),行星合月,行星之间以及行星与五颗亮恒星(除上列四颗外,另加北河三即双子座β星)之间相合。掩星和合月如果距离合朔24h之内,即不列出,行星之间相合或行星与恒星相合如果距离太阳10°以内,也不列出。
现把各种天象分别说明如下:
天顶每时出现率(Zenithal Hourly Rate,Rate:率,简称ZHR),是天文学专有名词。来自中国天文学会天文学名词审定委员会审定发布的天文学专有名词中文译名。假设辐射点位于仰角90度的天顶,在理想情况下,一个肉眼视力能够看到6.5等星的观测者可以看见的流星数量最多的流量值。实际能看见的会低于此一数值。 ZHR不应该翻译成“每小时天顶流星数”,国际流星组织(IMO)没有“ZHN=Zenith Hourly Number(天顶每小时流星数)”、“ZHF=Zenith Hourly flow quantity(每小时天顶流量)”这一类的词。维基百科和百度百科根据国际流星组织2017年12月21日上架的《2018流星雨日历》中文版开始,将ZHR翻译为“天顶每时出现率”。开源星空模拟软件Stellarium(虚拟天文馆)亦在最新的25.1版本中更新了zh_CN和zh_HK的翻译。 预报当地可见的流星数(Number),可按照下列公式计算:
其中,N为可见流星数目(颗);Teff为观测时长;K为云量遮盖率(百分比);lm为可见最暗星星的亮度(最佳条件为6.5等,实际需考虑当地光污染因素);hR为流星雨辐射点距地平线的仰角(地平高度);r为亮度指标,r值通常介于2.0(明亮)到3.5(暗淡)之间。
晨昏蒙影(台湾名:曙暮光):日出前和日没后由高空大气散射太阳光引起的天空发亮的现象称为晨昏蒙影;在日出前的叫做晨光,在日没后的叫做昏影。太阳中心在地平下6°时称为民用晨光始或民用昏影终,这时光线暗淡,需要人工照明。太阳中心在地平下18°时称为天文晨光始或天文昏影终,这时天空完全黑暗,可以看到目视最暗的星。
月相是月球环绕地球公转时,地球、月球、太阳之相对位置的变化,地球上的观测者从不同角度看到月球被太阳照亮的部分,造成月相盈亏圆缺之变化。月相盈亏周期平均是29.530588日,历法中之朔望月源于此。
朔、蛾眉月、上弦、盈凸月、望、亏凸月、下弦,残月分别是月球视黄经超过太阳视黄经0、45、90、135、180、225、270、315度的时刻。
阴历是按月球的月相周期来安排的历法,它的一年有12个朔望月,约354或355日。主要根据月球绕地球运行一周时间为一个月,称为朔望月,大约29.530588日,大月有30日、小月有29日。
月龄是指从新月为起始,在一个朔望月周期内,出现各种月相所经历的天数。月龄的数值通常用带一位小数的数字表示,比如月龄7.4是上弦月,月龄14.8是满月,月龄22.2是下弦月。因此月龄和阴历是有关连的,只不过阴历只显示朔望月每日的整数,而月龄是计算月相所经历的天数,为求更加准确,很多时会显示至小数后一个位(甚至几个位)。如果知道确实的月龄,便能推算出当时月球大致的形状、出没时刻及所在方位。
月掩星:月球在天空中每月移动一周,每小时约东移半度多,相当于月球的视角直径。月球移动时常将恒星和行星掩蔽起来,这种现象称为月掩星。观测月掩星可以测定观测者的地理坐标、研究双星、测定太阳视差及月球位置等,是业余天文学家感兴趣的观测项目之一。专业天文学家亦需要仰赖月掩射电源来求出射电源的准确位置。
合月、月掩星、行星间和行星与恒星相合:行星或恒星合月以及行星之间、行星与恒星相合都是指视赤经相合而言。行星在天球上运行的路线以及四颗亮恒星(毕宿五、轩辕十四、角宿一和心宿二)都很接近黄道,因而月球18.6年交点运动周期内有机会掩蔽它们。
视赤经和视赤纬系以当天真春分点和真赤道为准,章动长周期项和短周期项以及行星光行差都以包括在内,但没有包括太阳引力场引起的光线偏转的影响。视位置由真位置加行星光行差改正得出,其关系式为
α视=α真-0.00577552×Δ×δα δ视=δ真-0.00577552×Δ×δδ
其中Δ为行星的地心距,δα和δδ分别为赤经和赤纬的每日变化。
地心距为行星中心至地心的真距离,不包括光行差的影响。
合日和冲日:外行星或小行星视黄经与太阳视黄经相同的时候称为合日,相差180度的时候叫做冲日。内行星(水星和金星)的合日有上合和下合之分,上合是行星在太阳之后,即太阳在内行星与地球之间,下合是行星在太阳之前,即行星在太阳与地球之间,上合的时候,行星是顺行,即行星由西向东移动,下合时是逆行,即行星由东向西移动。行星相邻两次合日(或冲日)的平均间隔称为会和周期,根据行星的平均运动得出行星的会和周期如下:
水星 115.88日 土 星 378.09日 金星 583.92日 天王星 369.66日 火星 779.94日 海王星 367.48日 木星 398.88日 冥王星 366.72日
由于轨道偏心率和摄动的影响,实际间隔与会和周期有一定的差异。
留:由于地球和行星绕日运动时运行速度和相对位置的不同,行星在天空的视运动有时顺行(自西向东),有时逆行。顺行和逆行之间有一个时刻行星看来是停留不动的,这叫做留。顺行而留,留后逆行叫做顺留;逆行而留,留后顺行叫做逆留。内行星发生在上合日以后,外行星发生在冲日以后。
东大距和西大距:外行星对太阳的角距可以为任何数值,在180度时为冲日。而内行星由于轨道是在地球轨道内侧,所以从地球上看,它们对太阳的角距不能超过某种限度,并且没有冲日现象。内行星在太阳之东(或西)的最大角距称为东(或西)大距。水星在下合日前后约20天达东大距或西大距,由于水星轨道偏心率比较大,最大角距变化在18度~28度之间。金星在下合日前后70天左右达东西大距,角距约为46度~48度。内行星发生的天象其循环总是这样:下合-留-西大距-上合-东大距-留-下合。
方照:对外行星而言,行星视黄经超过太阳视黄经90度和270度时为方照,在太阳以东90度时称为东方照,在太阳以西90度时为西方照。
距角:是自地球看行星与太阳之间的角度,从太阳向东或向西计算,由0°至180°,但由于行星轨道与黄道有一定的倾斜,行星合日和冲日时,距角不一定恰好是0°或180°。 距角E是用下式计算: cosE=(R²+△²-r²)/2R△ 其中R和r分别是地球和行星的日心向径,△是行星的地心距离。
金星最亮:从地球看金星,也像月球一样有盈亏晦明现象。金星约在下合日前后36天,或东大距之后西大距之前35天为最亮。金星的会合周期约为584天,所以它的最亮日期有时全年都没有,有时一年有两次。 关于金星的亮度计算采用下列公式计算: m=-4.47+5lgrΔ+0.0103i+0.000057i²+0.00000013i³,2.2<i<163.6; 0.98+5lgrΔ-0.0102i,163.6<i<170.2。 i以“度”为单位,r、Δ以“天文单位”为单位。 位相角采用下列公式计算: 设L与B表示其日心的、l与b表示其地心的黄经与黄纬,θ表示太阳的黄经,且将其黄纬略而不计。设在太阳一地球一行星三点所组成的平面三角形内,以σ表示地球所在的角,σ'表示太阳所在的角,则 cosσ=cos(θ-l)cosb cosσ'=-cos(θ-L)cosB i=180-(σ-σ') σ角是地面观测者所看的行星对于太阳的距角,常小于直角;σ'角在一或二象限内,按其余弦的符号而决定。
火星最近地球:火星在一回合周期里,有一次距离地球最近,发生在冲日附近。2025年1月12日21时37分,火星最近地球。
过近日点和过远日点:假使不考虑摄动影响,行星的轨道为一椭圆,而太阳在其焦点上,行星在轨道上离太阳最近的一点,称为近日点,最远的一点称为远日点。所列过近日点和过远日点日期是行星向径为极小或极大的日期,也就是已经考虑摄动的影响,这与由平均轨道根数近日点黄经等于0度或180度的日期稍有不同。
行星纬度最南最北:是日心黄纬最南、最北的时刻,最北时黄纬为正,最南时黄纬为负。
仙后座RZ星(HIP 13133)是仙后座中的一颗恒星,以食变星闻名。学名为RZ Cassiopeiae(缩写为RZ Cas)。1906年被发现。它的变化周期仅为1.1953天。亮度在6.18等至7.72等之间变化。由于它的快速变暗和变亮变化以及可以用双筒望远镜轻松观察到其亮度,因此它在天文爱好者中很受欢迎! 仙后座RZ星在阁道一(仙后座ι星)附近。通过连接阁道三(仙后座δ星)和阁道二(仙后座ε星,是“W”最左边的恒星)而在仙后座ε星方向上以相同的长度寻找4.5等星就是仙后座ι星。一旦找到了仙后座ι,您就可以使用外部链接星图轻松找到仙后座RZ。它位于银经132.89、银纬9.07,其B1900.0坐标为赤经α2h39m54.1s、赤纬δ+69°9.07′49″。
预报的时间同时适用于所有东八时区(UTC+08:00)的地方,包括:中国、蒙古、菲律宾、新加坡、马来西亚、文莱、西澳大利亚。
1、《2025年中国天文年历》科学出版社,ISBN: 9787030770585 2、《十年袖珍月历 2025-2034年》气象出版社,ISBN: 9787502981570 3、李广宇、张培瑜著《PMOE2003行星历表框架》,《紫金山天文台台刊》第22卷,3~4期(2003年12月) 4、《大众万年历 1901-2050年》1994年10月第2版,上海科学技术出版社 5、有趣天文奇观
2025年天象预报资料,可在“有趣天文奇观”网站下取得,欢迎多加利用!http://interesting-sky.china-vo.org/categories/year/
欢迎关注本站公众号
实时获取最新咨询
移动端首页 | PC端
免责声明:本站资料来自网络和网友分享,如有侵权请联系本站
Email:wlcz_8@163.com 站长QQ:17893691
2026© by Qi Mobile Web
数据来源:中国科学院紫金山天文台
资料整理:杨旸、高良超、ZY-LunarCrater
时刻系东经120度标准时(北京时间)
天象包括行星天象(合日、冲日、凌日、大距、行星最接近地球、过远近日点、升降交点、纬度最南最北,以及行星相合、行星合恒星等),月相,月球过远近地点、月掩行星和恒星,日月食,二分二至,彗星,流星雨,变星等诸多天文事件。
今年的夏至是发生于6月21日10时42分,这天的太阳直射北回归线,之后,太阳直射地球的纬度回转往南,对北半球而言,是年度中白昼最长的一天。
6月份晚间约20时过后,在东方视野佳且光害少的地方,就能见到美丽的银河自东南方至东北方地平线上随着时间冉冉升起!其中东南方人马座内的银河,因为是本银河系的中心所在,是视觉中银河最明亮的所在,宛如在夜空中一朵淡淡的薄云;而在东方至东北方的银河上,则可见明亮的夏季大三角伴随闪烁在地平上空。在整个夏季银河中,有许多明亮的星云与星团夹杂其中,民众若是利用简易的双筒望远镜,即可透过星图或APP,在银河里面看到这些白雾状的小天体。
2025年3月12日凌晨,国际天文学联合会小行星中心宣布土星卫星总数达到创纪录的274颗。2025年4月30日,国际小行星中心又宣布木星新增2颗卫星,使得木星卫星数量达到了97颗。
夏季认星歌(小星星)
斗柄南指夏夜来,天蝎人马紧相挨;
顺着银河向北看,天鹰天琴两边排;
天鹅飞翔银河歪,牛郎织女色青白;
心宿红星照南斗,夏夜星空记心怀。
(取自台北市立天文科学教育馆)
太阳系天体动态
[ 合、冲:黄经基准。留:赤经基准。 ]
太阳: 由金牛座运行至双子座。5日17时57分芒种;21日10时42分夏至,太阳视赤纬最北。6日入梅。太阳视星等-26.8等,视直径31.5角分。
水星:由金牛座经双子座移至巨蟹座,顺行。上半月接近太阳不易看见,下半月于日没后可见于西北西方低空。视星等-2.3→+0.2等,视直径5.1”→7.5”。
金星: 由双鱼座经白羊座移至金牛座,顺行。1日西大距。约于凌晨2-3时于东偏北方地平升起,日出前可见于东方附近天空。视星等-4.4→-4.2等,视直径23.9”→18.0”。
火星: 在狮子座顺行。于日没后可见于西方附近天空。上、下半月分别于夜晚23、22时没入西北西方地平。视星等+1.3→+1.5等,视直径5.5”→4.9”。
木星: 由金牛座移至双子座,顺行。24日合,在太阳背后不易看见。视星等-1.9等,视直径32.4”→32.0”。
土星: 在双鱼座顺行。上、下半月分别约于凌晨1时、夜晚24时于东方地平升起,23日西方照,日出前可见于东南方附近天空。土星环非常细。视星等+1.1→+1.0等,视直径16.8”→17.7”。
天王星: 在金牛座顺行。日出前可见于东方。视星等+5.8等,视直径3.4”→3.5”。
海王星: 在双鱼座顺行。日出前位于东南方。视星等+7.9等,视直径2.3”。
冥王星: 在摩羯座逆行。日出前位于西南方。视星等+14.4等,视直径0.1”。
推荐天象
2025/6/1 金星西大距 ★
2025年6月1日11:29金星西大距(距角45.85度,视星等-4.41等,视直径23.89”),位于双鱼座旁,日出前可见于东方附近天空。6月1日这一天凌晨,东边天空闪耀的“启明星”金星距离太阳最远,为西大距(西方最大离角)。这一季的金星从4月中旬左右到10月中旬左右可以在凌晨的天空看到。更令人惊喜的是,土星也会一同出现在东方天空,两颗行星相伴而行,为晨曦增添几分星光闪耀的诗意。
2025/6/1 火星合月 ★★
2025年6月1日17:49火星合月(视赤经9h36m34s),地心所见火星在月球以南1.39度的地方。从6月1日傍晚开始到深夜,在西方的天空中可以看到上弦前2天的月亮和火星非常接近。在月亮的左下方有以1.3等红色发光的火星。20点左右的间隔不到1度,非常接近,是值得一看的现象。不仅可用肉眼和双筒望远镜观察,还可用天文望远镜观察。下一次接近是6月30日。
2025/6/3 月面X浮现 ★
上弦月的时候,在月面的缺口处可以看到像字母“X”一样的地形。这种现象就是“月面X”,从附近的维尔纳(Werner)撞击坑的名字来看,在国外被称为“WernerX”或“LunarX”。月面X似乎很早就被看到了,2004年由加拿大的Chapman等人报告后,变得广为人知。月面X并不是每次上弦都能看到的。因为持续时间只有1小时左右,所以机会难得。
2025年6月3日21:51月面X浮现,月面X的地理基准点经纬度坐标为0.9°E、25.3°S,月面余经度(selenographic colongitude)为358°,最佳观察时间为预报时刻前后一小时。
2025/6/5 芒种 ★
2025年6月5日17:57芒种,太阳视黄经75°,太阳视赤纬+22°35’。芒种是一个反映农业物候现象的节气,“芒”字指麦类等作物的收获,“种”字是指谷黍类作物的播种,“芒种”二字表明一切作物都在“忙种”了,是农事最为繁忙的时节。《月令七十二候集解》记载:“五月节,谓有芒之种谷可稼种矣。”
2025/6/8 土卫三偏食土卫四(减光0.5等)
6月8日凌晨4点钟,土卫三偏食土卫四(半影食始04时02分46秒,初亏04时03分23秒,食甚04时03分53秒,复圆04时04分24秒,半影食终04时05分00秒,历时134秒,最小角距0.08角秒,减光0.5等),可用天文望远镜追踪观测土卫四。
2025/6/10 月掩房宿增四
6月10日凌晨2点30分前后发生月掩房宿增四(4.6等),掩始现象:恒星从月球暗缘消失。由于发生在满月前一天且位置较低,请在西方低空无遮挡处,用小型天文望远镜追踪观测。
现象 北京时间 地理经度 地理纬度
掩始 00:23:28.7 42.97428 52.43358
掩甚 01:56:46.6 88.474 42.28226
掩终 03:30:11.0 121.03676 29.85658
掩星时长89分01秒 掩带宽10052.1公里
2025/6/11 年度最低满月 ★
月球绕地球运行的轨道被称为白道。月球轨道对黄道平面的倾角是5.145度,以18.6年的周期变化。全年天黄道最靠南的时候是夏至。如果天白道向南侧抖动最大的时机重合的话,月球的位置就会最靠近南侧。2025年6月11日15:44望,地心所见月球位于天黄道下方很多,为年度最低满月,距离地球39万9741.01公里。12日07:42月球视赤纬最南(δ-28°24.1′),离满月的时刻很近。所以6月11日是近年来罕见的在较低位置的满月。
2025/6/15 大陵五极小(大陵五型食变星原型) ★
2025年6月15日凌晨02:37英仙座β星大陵五极小(大陵五型食变星原型,2.1~3.4等,变光周期2.87日)。
大陵五的亮度通常维持在2.1等左右,但每2.86天中就会有接近半天时间降至3.4等左右。这一亮度变化,是由大陵五Aa1、大陵五Aa2相互掩食引起的,因此大陵五也被称为食变星。当大陵五Aa2经过大陵五Aa1前方,并将其全部掩食,整个大陵五系统的亮度会明显降低,在3.4等左右,持续大约10小时。掩食结束,大陵五Aa1、大陵五Aa2分开,大陵五亮度恢复到2.1等左右。这是因为大陵五Aa1的质量、视星等、表面温度均高于大陵五Aa2,但半径小于大陵五Aa2。二者之间距离很近,仅有0.062个天文单位。当大陵五Aa1掩食大陵五Aa2时,亮度仅稍稍降低,肉眼很难察觉。夏季想要观测大陵五必须等到后半夜。
英仙座β星大陵五(大陵五型食变星原型)
赤经(J2000):03h08m10.13s
赤纬(J2000):+40°57’20.3”
距离:~93光年
极大:2.12等
极小:3.39等
周期:2.867351日
天文学家研究表明,银河系内约半数以上的恒星存在于双星或多星系统中。其中,食双星(Eclipsing Binary)是指双星在相互绕转时彼此掩食造成亮度发生周期性变化的系统。此类系统的光变曲线蕴含双星轨道和子星的参数信息,从而可以精确测定双星中每颗子星的质量和半径,因此成为获取准确恒星参数的重要观测对象。部分食双星表现出极端的光变特征,包括显著的亮度变化和特殊形态的掩食光变曲线。这些独特的观测特征通常暗示双星系统存在极端物理性质,如极端的温度比和显著膨胀的子星,这些现象可能与其演化过程或物质转移密切相关。以英仙座β星(大陵五)为典型代表的大陵五型食变星系统,其核心特征是质量较大的子星处于主序阶段,而质量较小的子星却已演化成亚巨星或红巨星。研究这类大陵五型食变星系统,可以用于校准恒星演化模型、研究双星中的恒星活动、物质转移过程,以及物质转移后的恒星等。
研究人员提出了基于极端光变特征的筛选条件:一是两次掩食深度比大于20,二是光变振幅大于0.3星等。与此同时,要求光谱中存在H-alpha发射线。这些标准旨在识别出具有显著温度差异且正处于物质转移阶段的双星系统。
2025/6/17 火星合轩辕十四 ★★★
2025年6月17日12:22火星合轩辕十四(视赤经10h09m43s),地心所见火星在轩辕十四以北0.79度的地方,不过此时为白昼无法观测。可在20点左右朝正西方向看,首先找到北斗七星中最靠近斗柄的地方,在天权和天玑两颗星之间画一条假想线。然后将这条线向下延伸大约八倍,就会看到狮子座的一等星轩辕十四在比较低的位置。在右上角看到的红星就是火星,亮度为1.4等,是0.7度的狭窄间隔。第二天18日也是0.7度的间隔。选择西方附近没有高山、高楼及树木遮挡的地方,用双筒或小型天文望远镜观测。
2025/6/19 下弦,土星合月 + 海王星合月 ★★
6月19日11:58土星合月(视赤经0h08m49s),地心所见土星在月球以南3.39度的地方;12:27海王星合月(视赤经0h09m50s),地心所见海王星在月球以南2.47度的地方,但此时为白昼无法观测。可提前于6月19日凌晨3点左右眺望东南方向,就能看到月亮。因为当天03:19是下弦,所以是半月。土星在它的左下方,约4度的地方。紧挨着土星的左侧,约1.1度外有蓝绿色的海王星。虽然是8等,但位置很容易找到,可用双筒或小型天文望远镜观测。
2025/6/21 夏至 ★
2025年6月21日10:42夏至,太阳视黄经90°,太阳视赤纬最北+23°26’。夏至是二十四节气中的第十个节气。此时太阳直射地面的位置到达一年的最北端,几乎直射北回归线,此时北半球的白昼最长,且越往北越长。这期间大部分地区气温较高、日照充足、作物生长很快,此时的降水对农业产量影响很大,有“夏至雨点值千金”之说。夏至日后,通常再过二三十天,就是一年中最热的天气了。
2025/6/23 土星西方照 ★
西方照是指外行星距离太阳西侧90度。如果从地球北极上空俯瞰太阳系,按照太阳、地球、土星的顺序连接而成的直线的相交角度为90度。2025年6月23日凌晨02:36土星西方照,标志着土星的观测条件越来越好。一般来说,西方照的时候,日出的时候位于南方。但是这个时期离夏至很近,日出时间很早,所以实际上日出时看到的方向是东南。虽然还在很低的位置,但是之后在一点点提高高度的同时,逐渐变得容易观测。土星亮度为1.0等,环非常细。用天文望远镜看的话,环可能看起来像是直线状地刺向了土星主体。
2025/6/24 木星合日(木星在太阳背后,不可见)
合日指的是行星朝着和太阳相同的方向。与太阳同方向的木星被太阳耀眼的光干扰,将无法观测。2025年6月24日23:18木星合日(地心所见木星在太阳以南0.1度,-1.9等,视直径32.0″),木星在太阳背后,不可见。
2025/6/27 土卫三偏食土卫四(减光0.4等)
6月27日凌晨4点30分前后,土卫三偏食土卫四(半影食始04时36分59秒,初亏04时37分37秒,食甚04时38分26秒,复圆04时39分15秒,半影食终04时39分53秒,历时174秒,最小角距0.085角秒,减光0.4等),可用天文望远镜在东南方追踪观测土卫四。
2025/6/27 水星合月,日没时水星高度最大 ★
6月27日14:02水星合月(视赤经8h12m14s),地心所见水星在月球以南2.85度的地方。6月27日傍晚的西方低空,可以看到月龄2的细月牙和水星纵向排列。水星在月亮下面。0.2等的水星肉眼也能看到,但使用双筒望远镜更容易看到。作为水星来说,全年都是非常好的条件,所以这次机会请不要错过哦。
2025/6/30 火星合月(北太平洋月掩火星) ★
6月30日09:05火星合月(视赤经10h37m15s),地心所见火星在月球以南0.21度的地方,如此近的距离,在北太平洋发生月掩火星(掩终:火星由月球暗缘出现)。30日晚上20点左右朝西方低空看,首先映入眼帘的是3天后为上弦的盈凸月。然后,右下角是火星。间隔约5度,相当于手臂打直后,食指、中指与无名指三指合并顶端的宽度。虽然亮度变暗到了1.5等,但还是能在城市里用肉眼看见。下个月会再接近一点,但高度下降,条件变差。
视频观测
4K录像要求:MP4格式,3840×2160(16:9)分辨率,视频编码采用AVS3标准,码率不低于18Mbps;视频编码采用AVS2标准,码率不低于36Mbps。按照新国标执行。
详细天象
2025/06/01 11:29 金星西大距(距角45.9°,视星等-4.4等,视直径23.8”),日出前可见于东方附近天空
2025/06/01 17:49 火星合月,火星在月球以南1.39度(瞬时中天经度:106.8593576)
2025/06/02 武仙座τ流星雨极大期(ZHR~Var),武仙座τ流星雨(tau Herculids,00061 TAH)出现日期介在5月19日至6月14日之间,亮度指标r=2.2
2025/06/02 天龙座Y星极大(7.5~14.9等,周期326日)
2025/06/02 10:11 轩辕十四合月,轩辕十四在月球以南1.74度
2025/06/02 22:19 仙后座RZ星极小(大陵五型食变星)
2025/06/03 11:41 上弦
2025/06/03 20:50 天秤座δ星氐宿增一极小(大陵五型食变星)
2025/06/03 21:51 月面X浮现
2025/06/04 03:00 仙后座RZ星极小(大陵五型食变星)
2025/06/04 03:56 土卫七半影食土卫五(半影食始03时53分25秒,食甚03时55分31秒,半影食终03时57分36秒,历时251秒,最小角距0.131角秒,减光0.0等)
2025/06/04 19:35 月球过天赤道,进入南半球
2025/06/05 人马座R星极大(米拉变星,6.7~13.0等,周期268日)
2025/06/05 17:57 芒种,太阳视黄经75°,太阳视赤纬+22°35’
2025/06/06 天秤座RU星极大(7.2~14.8等,周期317日)
2025/06/06 23:00 角宿一合月,角宿一在月球以北0.54度
2025/06/07 猎户座U星极大(米拉变星,4.8~13.0等,周期377日)
2025/06/07 18:44 月球过远地点(40万5553km,视直径29.47’)
2025/06/07 21h 白昼白羊座流星雨极大期(国际流星组织ZHR~30;美国流星协会ZHR<2,黎明可见2颗/时),白昼白羊座流星雨(Daytime Arietids,00171 ARI)出现日期介在5月22日至7月2日之间,适合电波观测,规模最大的白昼流星雨
2025/06/08 04:04 土卫三偏食土卫四(半影食始04时02分46秒,初亏04时03分23秒,食甚04时03分53秒,复圆04时04分24秒,半影食终04时05分00秒,历时134秒,最小角距0.08角秒,减光0.5等)
2025/06/08 21:45 仙后座RZ星极小(大陵五型食变星)
2025/06/09 白昼英仙座ζ流星雨极大期(中,肉眼看不见),白昼英仙座ζ流星雨(Daytime zeta Perseids,00172 ZPE)出现日期介在5月20日至7月5日之间,电波观测,与171ARI时间重叠,规模为半分程度
2025/06/09 04:15 水星合木星,水星在木星以北1.97度
2025/06/10 蛇夫座X星极大(米拉变星,5.9~8.6等,周期338日)
2025/06/10 02:26 仙后座RZ星极小(大陵五型食变星)
2025/06/10 19:08 心宿二合月,心宿二在月球以北0.30度
2025/06/10 20:25 天秤座δ星氐宿增一极小(大陵五型食变星)
2025/06/11 02h 水星日心黄纬最北(黄纬+7.0°)
2025/06/11 02h 水星视赤纬最北(δ+25°18’45”)
2025/06/11 15:44 望,年度最低满月,39万9741.01km
2025/06/12 07:42 月球视赤纬最南-28°24.1′
2025/06/12 10:21 金星过远日点,距离太阳0.728AU
2025/06/13 21h C/2024 G2 (ATLAS)阿特拉斯彗星通过近日点
2025/06/14 01h C/2024 A1 (ATLAS)阿特拉斯彗星通过近日点
2025/06/14 11:23 木星视赤纬最北(δ+23°16’42”)
2025/06/14 21:11 仙后座RZ星极小(大陵五型食变星)
2025/06/15 02:37 英仙座β星大陵五极小(大陵五型食变星原型,2.1~3.4等,变光周期2.87日)
2025/06/15 07h P/2005 T5 (Broughton)布劳顿彗星通过近日点(周期19.6年)
2025/06/16 01:52 仙后座RZ星极小(大陵五型食变星)
2025/06/16 19h 65P/Gunn甘恩彗星通过近日点(周期7.7年)
2025/06/17 白昼金牛座λ流星雨极大期(不明),白昼金牛座λ流星雨(Daytime lambda Taurids,00325 DLT),国际流星组织(IMO)没有提供信息。各要素来自国际天文学联合会(IAU)
2025/06/17 12:22 火星合轩辕十四,火星在轩辕十四以北0.79度
2025/06/17 20h C/2024 L2 (PanSTARRS)泛星彗星通过近日点
2025/06/17 20:00 天秤座δ星氐宿增一极小(大陵五型食变星)
2025/06/19 03:19 下弦
2025/06/19 04:52 月球过天赤道,进入北半球
2025/06/19 11:58 土星合月,土星在月球以南3.39度(瞬时中天经度:35.14873173)
2025/06/19 12:27 海王星合月,海王星在月球以南2.47度(瞬时中天经度:27.94858701)
2025/06/20 02:38 土卫五半影食土卫一(半影食始02时38分05秒,食甚02时38分12秒,半影食终02时38分19秒,历时15秒,最小角距0.178角秒,减光0.0等)
2025/06/20 20:36 仙后座RZ星极小(大陵五型食变星)
2025/06/21 猎户座S星极大(7.2~13.1等,周期434日)
2025/06/21 10:42 夏至,太阳视黄经90°,太阳视赤纬最北+23°26’
2025/06/22 01:17 仙后座RZ星极小(大陵五型食变星)
2025/06/23 02:36 土星西方照(双鱼座,亮度1.0等,视直径17.5”)
2025/06/23 11:36 天王星合月,天王星在月球以南4.99度(瞬时中天经度:91.61981463)
2025/06/23 12:44 月球过近地点(36万3178km,视直径32.9′)
2025/06/23 16:29 海王星西方照(双鱼座,亮度7.9等,视直径2.3”)
2025/06/24 麒麟座SY星极大(米拉变星,7.0~14.6等,周期423日)
2025/06/24 半人马座TW星极大(6.7~13.0等,周期271日)
2025/06/24 19:34 天秤座δ星氐宿增一极小(大陵五型食变星)
2025/06/24 23:18 木星合日,木星在太阳背后,不可见
2025/06/25 牧夫座R星极大(米拉变星,6.2~13.1等,周期223日)
2025/06/25 天鹅座R星极大(米拉变星,6.1~14.4等,周期426日)
2025/06/25 六月飞马座ι流星雨极大期(ZHR<2),六月飞马座ι流星雨(June iota Pegasids,00431 JIP)出现日期介在6月25日至6月27日之间,电波观测,肉眼看不见
2025/06/25 双鱼座φ流星雨极大期(ZHR<2),双鱼座φ流星雨(phi Piscids,00372 PPS)出现日期介在6月13日至7月5日之间,电波观测,肉眼看不见
2025/06/25 09:31 月球视赤纬最北(δ+28°24.5′)
2025/06/25 17:19 木星合月,木星在月球以南5.05度(瞬时中天经度:40.1879991)
2025/06/25 18:32 朔
2025/06/26 01:41 土卫七半影食土卫五(半影食始01时37分49秒,食甚01时41分21秒,半影食终01时44分54秒,历时424秒,最小角距0.144角秒,减光0.0等)
2025/06/26 02:34 土卫二环食土卫三(半影食始02时32分43秒,初亏02时33分05秒,环食始02时33分09秒,食甚02时33分35秒,环食终02时34分00秒,复圆02时34分04秒,半影食终02时34分26秒,历时103秒,最小角距0.003角秒,减光0.3等)
2025/06/26 10h 小行星智神星与海豚座球状星团NGC 7006最接近(1°04′)
2025/06/26 20:02 仙后座RZ星极小(大陵五型食变星)
2025/06/27 03:49 北河三合月,北河三在月球以北2.49度
2025/06/27 04:38 土卫三偏食土卫四(半影食始04时36分59秒,初亏04时37分37秒,食甚04时38分26秒,复圆04时39分15秒,半影食终04时39分53秒,历时174秒,最小角距0.085角秒,减光0.4等)
2025/06/27 05h C/2025 B1 (PanSTARRS)泛星彗星通过近日点
2025/06/27 14:02 水星合月,水星在月球以南2.85度,日没时水星高度最大(瞬时中天经度:116.8937403)
2025/06/27 19h 六月牧夫座流星雨极大期(ZHR~Var,约2颗/时),六月牧夫座流星雨(June Bootids,00170 JBO)出现日期介在6月22日至7月2日之间,亮度指标r=2.2
2025/06/28 白昼金牛座β流星雨极大期(微弱,看不见),白昼金牛座β流星雨(Daytime beta Taurids,00173 BTA)出现日期介在6月5日至7月17日之间,未被检测到
2025/06/28 00:43 仙后座RZ星极小(大陵五型食变星)
2025/06/29 室女座U星极大(米拉变星,7.4~13.5等,周期206日)
2025/06/29 16:25 海王星合土星,海王星在土星以北0.99度
2025/06/29 19:06 轩辕十四合月,轩辕十四在月球以南1.48度
2025/06/30 00:46 土卫一半影食土卫四(半影食始00时45分34秒,食甚00时45分57秒,半影食终00时46分19秒,历时45秒,最小角距0.13角秒,减光0.0等)
2025/06/30 09:05 火星合月,火星在月球以南0.21度(北太平洋月掩火星,掩终:火星由月球暗缘出现)(瞬时中天经度:-135.2017018)
2025/06/30 15h C/2023 H5 (Lemmon)莱蒙彗星通过近日点
说明
注1:凡称行星合月、恒星合月、行星合恒星、行星合行星,皆指地心视赤经相同;惟合日、冲日则用地心视黄经。
注2:瞬时中天经度是指行星合月与恒星合月、行星合恒星与行星合行星时,由北极向南极的同一地理经度都能同时看到它们相合时的瞬时中天(纬度不必考虑)。例如2025/06/01/17:49火星合月(视赤经合),地处东经106.8度经线上可以看到它们同时到达中天。中天即是当地的视子午线。参见紫金山天文台官方微信说明。
注3:部分天象(彗星、流星雨、变星等)由于误差原因,无法(也不可能)精确到分钟。
天象载太阳、月球和行星的动态以及其他天文现象,包括:
(1)行星的地心天象(冲日、合日、方照、留、内行星东西大距以及金星最亮、火星最近地球等)和日心天象(过近日点和远日点、纬度最北和最南、过升交点和过降交点等);
(2)日月食概况;
(3)朔、望、两弦,月球过近地点和远地点;
(4)月掩行星或掩四颗亮恒星(毕宿五即金牛座α星、轩辕十四即狮子座α星、角宿一即室女座α星、心宿二即天蝎座α星),行星合月,行星之间以及行星与五颗亮恒星(除上列四颗外,另加北河三即双子座β星)之间相合。掩星和合月如果距离合朔24h之内,即不列出,行星之间相合或行星与恒星相合如果距离太阳10°以内,也不列出。
名词解释
现把各种天象分别说明如下:
天顶每时出现率(Zenithal Hourly Rate,Rate:率,简称ZHR),是天文学专有名词。来自中国天文学会天文学名词审定委员会审定发布的天文学专有名词中文译名。假设辐射点位于仰角90度的天顶,在理想情况下,一个肉眼视力能够看到6.5等星的观测者可以看见的流星数量最多的流量值。实际能看见的会低于此一数值。
ZHR不应该翻译成“每小时天顶流星数”,国际流星组织(IMO)没有“ZHN=Zenith Hourly Number(天顶每小时流星数)”、“ZHF=Zenith Hourly flow quantity(每小时天顶流量)”这一类的词。维基百科和百度百科根据国际流星组织2017年12月21日上架的《2018流星雨日历》中文版开始,将ZHR翻译为“天顶每时出现率”。开源星空模拟软件Stellarium(虚拟天文馆)亦在最新的25.1版本中更新了zh_CN和zh_HK的翻译。
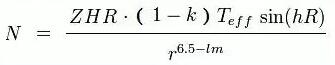
预报当地可见的流星数(Number),可按照下列公式计算:
其中,N为可见流星数目(颗);Teff为观测时长;K为云量遮盖率(百分比);lm为可见最暗星星的亮度(最佳条件为6.5等,实际需考虑当地光污染因素);hR为流星雨辐射点距地平线的仰角(地平高度);r为亮度指标,r值通常介于2.0(明亮)到3.5(暗淡)之间。
晨昏蒙影(台湾名:曙暮光):日出前和日没后由高空大气散射太阳光引起的天空发亮的现象称为晨昏蒙影;在日出前的叫做晨光,在日没后的叫做昏影。太阳中心在地平下6°时称为民用晨光始或民用昏影终,这时光线暗淡,需要人工照明。太阳中心在地平下18°时称为天文晨光始或天文昏影终,这时天空完全黑暗,可以看到目视最暗的星。
月相是月球环绕地球公转时,地球、月球、太阳之相对位置的变化,地球上的观测者从不同角度看到月球被太阳照亮的部分,造成月相盈亏圆缺之变化。月相盈亏周期平均是29.530588日,历法中之朔望月源于此。
朔、蛾眉月、上弦、盈凸月、望、亏凸月、下弦,残月分别是月球视黄经超过太阳视黄经0、45、90、135、180、225、270、315度的时刻。
阴历是按月球的月相周期来安排的历法,它的一年有12个朔望月,约354或355日。主要根据月球绕地球运行一周时间为一个月,称为朔望月,大约29.530588日,大月有30日、小月有29日。
月龄是指从新月为起始,在一个朔望月周期内,出现各种月相所经历的天数。月龄的数值通常用带一位小数的数字表示,比如月龄7.4是上弦月,月龄14.8是满月,月龄22.2是下弦月。因此月龄和阴历是有关连的,只不过阴历只显示朔望月每日的整数,而月龄是计算月相所经历的天数,为求更加准确,很多时会显示至小数后一个位(甚至几个位)。如果知道确实的月龄,便能推算出当时月球大致的形状、出没时刻及所在方位。
月掩星:月球在天空中每月移动一周,每小时约东移半度多,相当于月球的视角直径。月球移动时常将恒星和行星掩蔽起来,这种现象称为月掩星。观测月掩星可以测定观测者的地理坐标、研究双星、测定太阳视差及月球位置等,是业余天文学家感兴趣的观测项目之一。专业天文学家亦需要仰赖月掩射电源来求出射电源的准确位置。
合月、月掩星、行星间和行星与恒星相合:行星或恒星合月以及行星之间、行星与恒星相合都是指视赤经相合而言。行星在天球上运行的路线以及四颗亮恒星(毕宿五、轩辕十四、角宿一和心宿二)都很接近黄道,因而月球18.6年交点运动周期内有机会掩蔽它们。
视赤经和视赤纬系以当天真春分点和真赤道为准,章动长周期项和短周期项以及行星光行差都以包括在内,但没有包括太阳引力场引起的光线偏转的影响。视位置由真位置加行星光行差改正得出,其关系式为
α视=α真-0.00577552×Δ×δα
δ视=δ真-0.00577552×Δ×δδ
其中Δ为行星的地心距,δα和δδ分别为赤经和赤纬的每日变化。
地心距为行星中心至地心的真距离,不包括光行差的影响。
合日和冲日:外行星或小行星视黄经与太阳视黄经相同的时候称为合日,相差180度的时候叫做冲日。内行星(水星和金星)的合日有上合和下合之分,上合是行星在太阳之后,即太阳在内行星与地球之间,下合是行星在太阳之前,即行星在太阳与地球之间,上合的时候,行星是顺行,即行星由西向东移动,下合时是逆行,即行星由东向西移动。行星相邻两次合日(或冲日)的平均间隔称为会和周期,根据行星的平均运动得出行星的会和周期如下:
水星 115.88日 土 星 378.09日
金星 583.92日 天王星 369.66日
火星 779.94日 海王星 367.48日
木星 398.88日 冥王星 366.72日
由于轨道偏心率和摄动的影响,实际间隔与会和周期有一定的差异。
留:由于地球和行星绕日运动时运行速度和相对位置的不同,行星在天空的视运动有时顺行(自西向东),有时逆行。顺行和逆行之间有一个时刻行星看来是停留不动的,这叫做留。顺行而留,留后逆行叫做顺留;逆行而留,留后顺行叫做逆留。内行星发生在上合日以后,外行星发生在冲日以后。
东大距和西大距:外行星对太阳的角距可以为任何数值,在180度时为冲日。而内行星由于轨道是在地球轨道内侧,所以从地球上看,它们对太阳的角距不能超过某种限度,并且没有冲日现象。内行星在太阳之东(或西)的最大角距称为东(或西)大距。水星在下合日前后约20天达东大距或西大距,由于水星轨道偏心率比较大,最大角距变化在18度~28度之间。金星在下合日前后70天左右达东西大距,角距约为46度~48度。内行星发生的天象其循环总是这样:下合-留-西大距-上合-东大距-留-下合。
方照:对外行星而言,行星视黄经超过太阳视黄经90度和270度时为方照,在太阳以东90度时称为东方照,在太阳以西90度时为西方照。
距角:是自地球看行星与太阳之间的角度,从太阳向东或向西计算,由0°至180°,但由于行星轨道与黄道有一定的倾斜,行星合日和冲日时,距角不一定恰好是0°或180°。
距角E是用下式计算:
cosE=(R²+△²-r²)/2R△
其中R和r分别是地球和行星的日心向径,△是行星的地心距离。
金星最亮:从地球看金星,也像月球一样有盈亏晦明现象。金星约在下合日前后36天,或东大距之后西大距之前35天为最亮。金星的会合周期约为584天,所以它的最亮日期有时全年都没有,有时一年有两次。
关于金星的亮度计算采用下列公式计算:
m=-4.47+5lgrΔ+0.0103i+0.000057i²+0.00000013i³,2.2<i<163.6;
0.98+5lgrΔ-0.0102i,163.6<i<170.2。
i以“度”为单位,r、Δ以“天文单位”为单位。
位相角采用下列公式计算:
设L与B表示其日心的、l与b表示其地心的黄经与黄纬,θ表示太阳的黄经,且将其黄纬略而不计。设在太阳一地球一行星三点所组成的平面三角形内,以σ表示地球所在的角,σ'表示太阳所在的角,则
cosσ=cos(θ-l)cosb
cosσ'=-cos(θ-L)cosB
i=180-(σ-σ')
σ角是地面观测者所看的行星对于太阳的距角,常小于直角;σ'角在一或二象限内,按其余弦的符号而决定。
火星最近地球:火星在一回合周期里,有一次距离地球最近,发生在冲日附近。2025年1月12日21时37分,火星最近地球。
过近日点和过远日点:假使不考虑摄动影响,行星的轨道为一椭圆,而太阳在其焦点上,行星在轨道上离太阳最近的一点,称为近日点,最远的一点称为远日点。所列过近日点和过远日点日期是行星向径为极小或极大的日期,也就是已经考虑摄动的影响,这与由平均轨道根数近日点黄经等于0度或180度的日期稍有不同。
行星纬度最南最北:是日心黄纬最南、最北的时刻,最北时黄纬为正,最南时黄纬为负。
仙后座RZ星(HIP 13133)是仙后座中的一颗恒星,以食变星闻名。学名为RZ Cassiopeiae(缩写为RZ Cas)。1906年被发现。它的变化周期仅为1.1953天。亮度在6.18等至7.72等之间变化。由于它的快速变暗和变亮变化以及可以用双筒望远镜轻松观察到其亮度,因此它在天文爱好者中很受欢迎!
仙后座RZ星在阁道一(仙后座ι星)附近。通过连接阁道三(仙后座δ星)和阁道二(仙后座ε星,是“W”最左边的恒星)而在仙后座ε星方向上以相同的长度寻找4.5等星就是仙后座ι星。一旦找到了仙后座ι,您就可以使用外部链接星图轻松找到仙后座RZ。它位于银经132.89、银纬9.07,其B1900.0坐标为赤经α2h39m54.1s、赤纬δ+69°9.07′49″。
预报的时间同时适用于所有东八时区(UTC+08:00)的地方,包括:中国、蒙古、菲律宾、新加坡、马来西亚、文莱、西澳大利亚。
参考资料
1、《2025年中国天文年历》科学出版社,ISBN: 9787030770585
2、《十年袖珍月历 2025-2034年》气象出版社,ISBN: 9787502981570
3、李广宇、张培瑜著《PMOE2003行星历表框架》,《紫金山天文台台刊》第22卷,3~4期(2003年12月)
4、《大众万年历 1901-2050年》1994年10月第2版,上海科学技术出版社
5、有趣天文奇观
2025年天象预报资料,可在“有趣天文奇观”网站下取得,欢迎多加利用!http://interesting-sky.china-vo.org/categories/year/