数据来源:中国科学院紫金山天文台 资料整理:杨旸、高良超、ZY-LunarCrater 时刻系东经120度标准时(北京时间)
2025年3月12日凌晨,国际天文学联合会小行星中心宣布:土星卫星总数达到创纪录的274颗。 天象包括行星天象(合日、冲日、凌日、大距、行星最小角距、地球过远近日点、升降交点、纬度最南最北,以及行星相合、行星合恒星等),二分二至,日月食,月相,月球过远近地点、月掩行星和恒星,变星,彗星,流星雨,月闪等诸多天文事件。 二十四节气是中国古代订立的一种用来指导农事的国家历法,节气对农业生产至关重要。清明节这个民俗节日是以二十四节气中的“清明”为准,亦即节气“清明”落在哪一天,即以该日为清明节。2025年的节气清明落在4月4日20时48分34秒,因此2025年4月4日为清明节。由于节气在公历(4年1闰)上的日期随着阳历年的长度而有所变动,因此清明有可能会是在4月的4、5或6日。 在4月的行星部分,上半夜火星可见于天顶附近,木星位于西偏北高空,天王星则位于西方附近低空。水星、金星及土星日出前可见于东方附近低空。星空部分,4月份除了西方天空冬季星空7颗明亮的一等星外,在东方,分别能见东北东方牧夫座的大角,以及东南东方室女座的角宿一,再以这两颗亮星为春季大三角形的底,向上的正三角形顶部附近可找到1颗二等星,那是狮子座尾巴的五帝座一,这三颗星排列成“春季大三角”,是我们春季观星的指标。
春季认星歌(捕鱼歌) 春风送暖学认星,北斗高悬柄指东, 斗口两星指北极,找到北极方向清。 狮子横卧春夜空,轩辕十四一等星, 牧夫大角沿斗柄,星光点点照航程。 (取自台北市立天文科学教育馆)
[ 合、冲:黄经基准。留:赤经基准。 ] 太阳: 由双鱼座运行至白羊座。4日20时49分清明,20日3时56分谷雨。 水星: 在双鱼座,逆行,6日留后转为顺行。22日西大距。上、下半月分别约于凌晨5、4时于东方地平升起,日出前可见于东方低空。视星等-3.2→+0.0等,视直径11.1”→6.9”。 金星: 在双鱼座,逆行,10日留后转为顺行。上、下半月分别约于凌晨4-5、3-4时于东方地平升起,日出前可见于东方低空。视星等-4.3→-4.7等,视直径56.9”→37.1”。 火星: 由双子座移至巨蟹座,顺行。日没后可见于天顶附近天空。上、下半月分别于1-2、0-1时没入西偏北方地平。视星等+0.4→+0.9等,视直径8.2”→6.6”。 木星: 在金牛座顺行。日没后可见于西方附近天空。上、下半月分别约于夜晚22-23、21-22时没入西北西方地平。视星等-2.1→-2.0等,视直径36.1”→33.8”。 土星: 由宝瓶座移至双鱼座,顺行。上、下半月分别约于凌晨4-5、凌晨3-4时于东方地平升起,日出前可见于东方附近低空。视星等+1.2等,视直径15.8”→16.1”。 天王星: 在金牛座顺行。日没后可见于西方。视星等+5.8等,视直径3.5”→3.4”。 海王星: 在双鱼座顺行。日出前可见于东方。视星等+8.0→+7.9等,视直径2.2”。 冥王星: 在摩羯座顺行。日出前位于东南方。视星等+14.5等,视直径0.1”。
五车五(普通话:wǔ chē wǔ,粤语:ng5 ce1 ng5),“车”要唸chē,“居”的读音只限用在象棋棋子。 4月3日19时前后,月掩五车五(金牛座β星,1.7等),恒星由月球暗缘掩入。可用小型天文望远镜追踪观测。金牛座是黄道星座之一,而当月球的上升点接近昼夜平分点时,月球将会遮掩五车五。
现象 北京时间 地理经度 地理纬度 掩始 16:32:36.4 36.58674 -8.53413 掩甚 18:40:24.9 90.36685 21.02224 掩终 20:48:13.6 146.60642 -2.19922 掩星时长93分30秒,掩带宽3505.3公里
4月4日22时前后,月掩井宿增六(御夫座49,5.3等),恒星由月球暗缘掩入。可用小型天文望远镜追踪观测。 井宿增六(49 Aurigae),是一颗位于御夫座的矮星(Main Sequence Star),视星等为5.27等,距离地球约369.8光年或113.38秒差距。位于银经186.04,银纬9.13,其B1900.0坐标为赤经6h28m54.1s,赤纬+28°9.13′1″。它是一颗典型的蓝白色恒星,寿命可能只有1000万年,是短命的恒星。没有已知的太阳系外行星围绕在这颗恒星的轨道上。
现象 北京时间 地理经度 地理纬度 掩始 18:59:20.6 0.94009 18.75909 掩甚 21:04:36.3 72.52857 49.51043 掩终 23:09:53.0 134.2646 10.626 掩星时长78分55秒,掩带宽3729.6公里
2025年4月4日20时48分34秒清明,太阳视黄经15°,太阳视赤纬+5°54’33”。《历书》:“春分后十五日,斗指丁,为清明,时万物皆洁齐而清明,盖时当气清景明,万物皆显,因此得名。”清明一到,气温升高,正是春耕春种的大好时节,故有“清明前后,种瓜点豆”“清明时节,麦长三节”之说。 清明节,又称踏青节、行清节、三月节、祭祖节等,是中华民族古老的节日,也是最重要的祭祀节日之一,是祭祖和扫墓的日子。清明既是自然节气点,也是传统节日。2006年5月20日列入第一批国家级非物质文化遗产名录。
公历日期 时刻 节气 候次 年候次 干支 太阳视黄经 候应 二十四番花信风 2025/04/04 20:48:34 清明 初候 13候 癸卯 15° 一候 桐始华 十九番 桐花 2025/04/09 22:49:06 清明 次候 14候 戊申 20° 二候 田鼠化为鴽 二十番 麦花 2025/04/15 01:12:39 清明 末候 15候 甲寅 25° 三候 虹始见 廿一番 柳花
上弦月的时候,在月面的缺口处可以看到像字母“X”一样的地形。这种现象就是“月面X”,从附近的维尔纳(Werner)撞击坑的名字来看,在国外被称为“WernerX”或“LunarX”。月面X似乎很早就被看到了,2004年由加拿大的Chapman等人报告后,变得广为人知。月面X并不是每次上弦都能看到的。因为持续时间只有1小时左右,所以机会难得。 2025年4月5日22:09月面X浮现,月面X的地理基准点经纬度坐标为0.9°E、25.3°S,月面余经度(selenographic colongitude)为358°,最佳观察时间为预报时刻前后一小时。观察“月面X”需要使用高倍率的天文望远镜。
4月6日01:24北河三合月(视赤经7h46m51s),地心所见北河三在月球以北2.01度的地方;之后03:04火星合月(视赤经7h50m47s),地心所见火星在月球以南2.17度的地方。但此时已经没入地平线下。 可在4月5日日落后,朝西边的方向。可以看到上弦的半月。月球的左上角有红光闪烁的火星,上方有双子座的一等星北河三。亮度分别为0.5等和1.2等,间隔为3.6度和3.0度。另外,火星和北河三的间隔为4.4度,在比较小的范围内聚集了3个天体。下个月火星就要离开了,趁此机会用肉眼或双筒望远镜观赏它们吧。
2025年4月13日8时22分为望,本次满月刚好发生在远地点(4/14 06:48)前约23小时,因相对距离月球较远,所以月面看起来会觉得比较小,是年度最小满月,满月时月球距离地球约40万6006.17公里,月面视直径约为29.13角分,比今年11月5日年度最大满月的视直径小约14.3%。话虽如此,在中国最容易看到满月的21点左右,距离最远的时刻相差了将近半天,所以并不是真正意义上的最小。 21点左右,朝东南方向,在稍低的位置可以看到今年最小的满月,最小的月亮。在月球以北约6度的地方,有颗发着蓝白色光芒的恒星室女座角宿一。从北斗七星的斗柄到角宿一的这条曲线叫做“春季大曲线”。请一起观赏。
2025年4月16日是中国西双版纳傣历新年,傣历蛇年六月下四日,象征傣历1387新年第一天开始。 傣历,巴利语:祖腊萨咖拉扎。中国云南少数民族使用的历法。傣历,该历年长为365.25875日,月长29.530583日,平年十二个月(354天或355天),闰年十三个月(384天)。19年置7个闰月,皆置闰月在九月。所用二十四节气与农历相同。采用支纪日、纪年和十二生肖。傣历干支约东汉时由汉地传入,使用12属相纪年岁。每月又分“月出”和“月下”两个半月,望月(十五日)之后称“月下一日”,顺序至晦日。并使用七曜(日、月及火、水、木、金、土五星)为纪日的周纪法。
2025年4月20日03时56分01秒谷雨,太阳视黄经30°,太阳视赤纬+11°28’17”。谷雨是二十四节气之第六个节气,春季的最后一个节气。谷雨取自“雨生百谷”之意,此时降水明显增加,田中的秧苗初插、作物新种,最需要雨水的滋润,降雨量充足而及时,谷类作物能茁壮成长。谚语有:“谷雨时节种谷天,南坡北洼忙种棉”“谷雨栽上红薯秧,一棵能收一大筐”等等。
公历日期 时刻 节气 候次 年候次 干支 太阳视黄经 候应 二十四番花信风 2025/04/20 03:56:01 谷雨 初候 16候 己未 30° 一候 萍始生 廿二番 牡丹 2025/04/25 06:57:26 谷雨 次候 17候 甲子 35° 二候 鸣鸠拂其羽 廿三番 酴糜 2025/04/30 10:16:58 谷雨 末候 18候 己巳 40° 三候 戴胜降于桑 廿四番 楝花
4月20日小行星37号忠神星冲日,是观测这颗小行星的最好时机。
2025年4月22日2时49分为水星西大距,距离太阳西侧最远,最大离角27.38度,视星等0.42等。位于双鱼座旁,日出前可见于东方附近低空。这次西大距条件最差。虽然距角有27.4度,但是因为在与地平线平行的方向上远离太阳,所以高度不会变高。水星有0.4等的亮度,找到也很困难,建议使用双筒望远镜。 水星上个月3月8日刚刚达到东大距,但仅仅一个半月,4月22日水星成为西大距。虽然可能会觉得间隔很短,但是大距每年会发生6到7次,所以并不是很短。
“四月天琴座流星雨(普通话:sì yuè tiān qín zuò liú xīng yǔ,粤语:sei3 jyut9 tin1 kam4 zo6 lau4 sing1 jyu5)”,听起来觉得不习惯。以前叫“天琴座流星雨”,但2009年国际天文学联合会(IAU)确定命名后,“四月天琴座流星雨”就成了正式名称,这也没办法。
2025年4月23日凌晨观测条件良好 四月天琴座流星雨(April Lyrids,00006 LYR)出现日期介在4月14日至30日之间,它是中等强度的流星雨,其活跃期在每年4月15日至29日,今年在4月22日21时左右达到极大。21日为下弦,但是,因为在月亮升起之前可以观测到,所以条件良好。半夜以后辐射点的位置会变高,所以推荐在这个时间段观测。随着黎明的临近,流星数应该会增加,但是因为月亮会升起,所以预估每小时最多7到10颗左右吧。 往年的话,每小时最多出现5到10颗左右的小流星雨。但是,如果条件具备的话,也不是没有达到15到20颗的年份。 世界上最早关于流星雨的记载,出自公元前687年的中国,《春秋左传·庄公七年》记载了四月天琴座流星雨:“夏四月辛卯夜,恒星不见,夜中星陨如雨。” 流星雨中的流星是彗星带来的小沙粒和尘埃。流星雨中的母彗星,接近母彗星的轨道的话流星会比平时多。四月天琴座流星雨的母彗星是周期为415年的C/1861 G1 (Thatcher) 佘契尔(普通话:shé qiè ěr)彗星。佘契尔彗星的公转周期为415年,是流星雨的母彗星中最长的。预计下一次接近地球是在2283年左右。
请用流星雨代码登记 不要跟六月天琴座流星雨(June Lyrids,00166 JLY)、天琴座η流星雨(eta Lyrids,00145 ELY)、天琴座λ流星雨(lambda Lyrids,00349 LLY)、天琴座μ流星雨(mu Lyrids,00413 MUL)、天琴座κ流星雨(kappa Lyrids,00464 KLY)、天琴座R流星雨(R Lyrids,00653 RLY)、天琴座γ流星雨(gamma Lyrids,00794 GLY)混淆了。
4月25日上午09:21金星合月(视赤经23h46m30s),地心所见金星在月球以北2.39度的地方;中午12:23土星合月(视赤经23h53m02s),地心所见土星在月球以南2.29度的地方;下午18:06海王星合月(视赤经0h05m24s),地心所见海王星在月球以南1.86度的地方。因为在白天,当然是看不到了,不过可以早起。 4月25日凌晨2点左右,请朝东边的方向,可以看到残月。因为28日是新月,所以形状像月牙。在月球左侧约5.6度远的地方,有一颗明亮发光的金星。还有距离月球左下方约4.5度,以1.2等发光的土星。金星和土星的间隔约4.2度,是3个天体聚集在一起的样子。高度最低而且最暗的是土星。曙光马上开始了,所以要早点看比较好。
4月26日上午09:04水星合月(视赤经0h38m17s),地心所见水星在月球以南4.40度的地方。黎明前,请看东边的方位,极低的位置,有非常细的残月,两天后是新月。因为辉面比只有0.06,所以月光很微弱,用肉眼找到很困难吧。水星位于月球下侧约3.1度远的地方,呈纵向排列。0.3等,应该很明亮,但低空和晨光相辅相成,相当难看到吧。如果是10倍左右的双筒望远镜的话,可以纳入同一视野,所以推荐使用双筒望远镜。 这一对的右上角还有一对——金星和土星。29日是最近的一天,会接近3.7度,但今天也是4.0度,没什么变化。顺便看看就好。(在稍微早一点的时间段)
4月26日小行星100号权神星冲日,是观测这颗小行星的最好时机。
2025年4月27日18时金星第二次最大亮度(-4.8等,视直径38.6″),很明亮。金星最大亮度发生在下合前后36天左右。因为下合是3月21日,所以上次是下合的34天前,这次是下合的37天后。根据金星发光的面积和地球与金星的距离的关系,变成月牙形的时候最明亮。因为这次亮度是-4.8等,所以说是异样的亮度也不为过。金星在中国古代被称为太白金星,清晨在东方天空出现则被称为“启明星”。金星正在接近土星,间隔约3.9度,看起来是很近的位置。但是,因为是曙光很强的时间段,所以为了看土星,准备双筒望远镜是必要的。
4月27日小行星72号期女星冲日,是观测这颗小行星的最好时机。
4月29日上午10:25土星合金星(视赤经23h54m34s),地心所见土星在金星以南3.72度的地方。可在4月29日黎明前东边的方向看见金星和土星并排。在低位置闪耀的金星映入眼帘。金星的右下角有1.2等的土星。间隔约3.7度。现在天色还很暗,但之后会越来越亮。如果在很晚的时间看的话,因为担心能不能看到土星,所以要提前准备双筒望远镜比较好。 金星和土星的接近不仅仅是今天。三天前的26日正好4度。27日为3.9度,28日为3.8度。而且,明天30日是3.7度,5月1日是3.8度,2日正好是4度。如果今天看不到,请另一天看。
4月30日小行星66号光神星冲日,是观测这颗小行星的最好时机。
根据ELP2000-82/HIP依巴谷星表恒星视位置预报2025年4月月掩星情况。主要包括掩始、掩终的东八区(北京时)时刻,掩始掩终时刻的位置角(P,V分别由月面北点和最高点向东计量)和行星中心高度h及日出日落等。
2025/04/01 宝瓶座S星极大(米拉变星,7.6~15.0等,周期279日) 2025/04/01 06h P/2019 A8 (PanSTARRS)泛星彗星通过近日点(周期6.3年) 2025/04/01 18:36 仙后座RZ星极小(大陵五型食变星) 2025/04/01 21:51 天王星合月,天王星在月球以南4.87度(瞬时中天经度:14.52985141) 2025/04/02 00:30 天琴座β星渐台二极小(密近双星,EB原型) 2025/04/02 00:44 天秤座δ星氐宿增一极小(大陵五型食变星) 2025/04/02 23:18 仙后座RZ星极小(大陵五型食变星) 2025/04/03 08:23 木星合月,木星在月球以南5.51度(瞬时中天经度:-122.2231449) 2025/04/03 14h 水星过天赤道,进入南半球 2025/04/03 19h 月掩五车五(金牛座β星,1.7等),恒星由月球暗缘掩入 2025/04/04 03:59 仙后座RZ星极小(大陵五型食变星) 2025/04/04 04h 486P/Leonard伦纳德彗星通过近日点(周期6.9年) 2025/04/04 06:03 月球视赤纬最北(δ+28°42.2′) 2025/04/04 11h C/2024 V1 (Borisov)鲍里索夫彗星通过近日点 2025/04/04 20:49 清明,太阳视黄经15°,太阳视赤纬+5°54’33” 2025/04/05 天鹰座R星极大(米拉变星,5.5~12.0等,周期270日) 2025/04/05 10:15 上弦 2025/04/05 22:09 月面X浮现 2025/04/06 01:24 北河三合月,北河三在月球以北2.01度 2025/04/06 03:04 火星合月,火星在月球以南2.17度(瞬时中天经度:-2.560122065) 2025/04/06 14:21 水星留(视赤经23.80h),转为顺行 2025/04/07 18:03 仙后座RZ星极小(大陵五型食变星) 2025/04/08 20:33 轩辕十四合月,轩辕十四在月球以南2.14度 2025/04/08 21h 冥王星视赤纬最北(δ+22°43′) 2025/04/08 22:44 仙后座RZ星极小(大陵五型食变星) 2025/04/09 00:18 天秤座δ星氐宿增一极小(大陵五型食变星) 2025/04/10 天鸽座T星极大(米拉变星,6.6~12.7等,周期229日) 2025/04/10 03:25 仙后座RZ星极小(大陵五型食变星) 2025/04/10 22:59 金星留(视赤经23.54h),转为顺行 2025/04/10 23h 49P/Arend-Rigaux阿朗-里戈彗星通过近日点(周期6.7年) 2025/04/11 03:56 月球过降交点 2025/04/11 08:17 月球过天赤道,进入南半球 2025/04/11 18h C/2024 N3 (Sárneczky)萨尔内茨基彗星通过近日点 2025/04/13 03h 水星视赤纬最南(δ-1°55′) 2025/04/13 08:22 望,年度最小满月,距离40万6006.19公里,视直径29.13’,农历三月十六日 2025/04/13 10:23 角宿一合月,角宿一在月球以北0.35度 2025/04/13 17:29 仙后座RZ星极小(大陵五型食变星) 2025/04/14 武仙座T星极大(6.8~13.7等,周期165日) 2025/04/14 06:48 月球过远地点,40万6295.080公里,视直径29.41′ 2025/04/14 16h 289P/Blanpain布朗平彗星通过近日点(周期5.3年) 2025/04/14 22:10 仙后座RZ星极小(大陵五型食变星) 2025/04/14 23:06 天琴座β星渐台二极小(密近双星,EB原型) 2025/04/15 室女座α流星雨极大期(ZHR<2),1颗/时 2025/04/15 08h 456P/PanSTARRS泛星119号彗星通过近日点(周期5.6年) 2025/04/15 20:29 英仙座β星大陵五极小(大陵五型食变星原型,2.1~3.4等,变光周期2.87日) 2025/04/15 23:51 天秤座δ星氐宿增一极小(大陵五型食变星) 2025/04/16 中国西双版纳傣历新年,傣历1387蛇年六月下四日 2025/04/16 02:51 仙后座RZ星极小(大陵五型食变星) 2025/04/17 02:33 海王星合水星,海王星在水星以北0.69度 2025/04/17 06:12 火星过远日点,1.66606 AU 2025/04/17 07:02 心宿二合月,心宿二在月球以南0.42度 2025/04/17 21:17 水星过远日点(距离太阳0.467au) 2025/04/18 17:18 英仙座β星大陵五极小(大陵五型食变星原型,2.1~3.4等,变光周期2.87日) 2025/04/18 21:12 月球视赤纬最南(δ-28°38.2′) 2025/04/20 仙女座R星极大(米拉变星,5.8~15.2等,周期409日) 2025/04/20 03:56 谷雨,太阳视黄经30°,太阳视赤纬+11°28’17” 2025/04/20 21:36 仙后座RZ星极小(大陵五型食变星) 2025/04/21 09:34 火星东方照(亮度0.8等,视直径7.1”) 2025/04/21 09:36 下弦 2025/04/22 双子座R星极大(米拉变星,6.0~14.0等,周期370日) 2025/04/22 02:18 仙后座RZ星极小(大陵五型食变星) 2025/04/22 02:49 水星西大距(距角27.4°,0.4等,视直径7.9″) 2025/04/22 21h 四月天琴座流星雨极大期(ZHR~18),10颗/时,良好 2025/04/22 23:25 天秤座δ星氐宿增一极小(大陵五型食变星) 2025/04/23 船尾座π流星雨极大期(ZHR不定) 2025/04/23 01h 341P/Gibbs吉布斯6号彗星通过近日点(周期8.9年) 2025/04/23 12h 水星过天赤道,进入北半球 2025/04/23 14h C/2024 L1 (PanSTARRS)泛星彗星通过近日点(周期38.8年) 2025/04/25 09:21 金星合月,金星在月球以北2.39度(瞬时中天经度:123.0177799) 2025/04/25 10:23 月球过升交点 2025/04/25 12:23 土星合月,土星在月球以南2.29度(瞬时中天经度:78.96079647) 2025/04/25 14:32 月球过天赤道,进入北半球 2025/04/25 18:06 海王星合月,海王星在月球以南1.86度(瞬时中天经度:-3.744260725) 2025/04/26 00h 金星视赤纬最南(δ-0°52′) 2025/04/26 08h C/2024 J4 (Lemmon)莱蒙彗星通过近日点 2025/04/26 09:04 水星合月,水星在月球以南4.40度(瞬时中天经度:139.2070178) 2025/04/26 21:02 仙后座RZ星极小(大陵五型食变星) 2025/04/27 18h 金星最大亮度(-4.8等,视直径38.6″) 2025/04/27 21:42 天琴座β星渐台二极小(密近双星,EB原型) 2025/04/28 巨蛇座R星极大(米拉变星,5.2~14.4等,周期356日) 2025/04/28 00:18 月球过近地点,35万7118.541公里,视直径33.46′ 2025/04/28 01:44 仙后座RZ星极小(大陵五型食变星) 2025/04/28 03:31 朔,年度最大新月,35万7136.43公里,农历四月初一 2025/04/29 10:25 土星合金星,土星在金星以南3.72度 2025/04/29 10:22 天王星合月,天王星在月球以南4.85度(瞬时中天经度:161.232497) 2025/04/29 22:59 天秤座δ星氐宿增一极小(大陵五型食变星)
注1:凡称行星合月、恒星合月、行星合恒星、行星合行星,皆指地心视赤经相同;惟合日、冲日则用地心视黄经。 注2:瞬时中天经度是指行星合月与恒星合月、行星合恒星与行星合行星时,由北极向南极的同一地理经度都能同时看到它们相合时的瞬时中天(纬度不必考虑)。例如2025/4/25/12:23土星合月(视赤经合),地处东经78.9度经线上可以看到它们同时到达中天。中天即是当地的视子午线。详见紫金山天文台官方微信说明。 注3:部分天象(彗星、流星雨、变星等)由于误差原因,无法(也不可能)精确到分钟。
天象载太阳、月球和行星的动态以及其他天文现象,包括: (1)行星的地心天象(冲日、合日、方照、留、内行星东西大距以及金星最亮、火星最近地球等)和日心天象(过近日点和远日点、纬度最北和最南、过升交点和过降交点等); (2)日月食概况; (3)朔、望、两弦,月球过近地点和远地点; (4)月掩行星或掩四颗亮恒星(毕宿五即金牛座α星、轩辕十四即狮子座α星、角宿一即室女座α星、心宿二即天蝎座α星),行星合月,行星之间以及行星与五颗亮恒星(除上列四颗外,另加北河三即双子座β星)之间相合。掩星和合月如果距离合朔24h之内,即不列出,行星之间相合或行星与恒星相合如果距离太阳10°以内,也不列出。
现把各种天象分别说明如下:
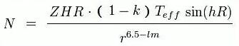
天顶每时出现率(Zenithal Hourly Rate,Rate:率,简称ZHR),是天文学专有名词。来自中国天文学会天文学名词审定委员会审定发布的天文学专有名词中文译名。假设辐射点位于仰角90度的天顶,在理想情况下,一个肉眼视力能够看到6.5等星的观测者可以看见的流星数量最多的流量值。实际能看见的会低于此一数值。 ZHR不应该翻译成“每小时天顶流星数”,国际流星组织(IMO)没有“ZHN=Zenith Hourly Number(天顶每小时流星数)”、“ZHF=Zenith Hourly flow quantity(每小时天顶流量)”这一类的词。维基百科和百度百科根据国际流星组织2017年12月21日上架的《2018流星雨日历》中文版开始,将ZHR翻译为“天顶每时出现率”。开源星空模拟软件Stellarium(虚拟天文馆)亦在最新的25.1版本中更新了zh_CN和zh_HK的翻译。 预报当地可见的流星数(Number),可按照下列公式计算:
其中,N为可见流星数目(颗);Teff为观测时长;K为云量遮盖率(百分比);lm为可见最暗星星的亮度(最佳条件为6.5等,实际需考虑当地光污染因素);hR为流星雨辐射点距地平线的仰角(地平高度);r为亮度指标,r值通常介于2.0(明亮)到3.5(暗淡)之间。
晨昏蒙影(台湾名:曙暮光):日出前和日没后由高空大气散射太阳光引起的天空发亮的现象称为晨昏蒙影;在日出前的叫做晨光,在日没后的叫做昏影。太阳中心在地平下6°时称为民用晨光始或民用昏影终,这时光线暗淡,需要人工照明。太阳中心在地平下18°时称为天文晨光始或天文昏影终,这时天空完全黑暗,可以看到目视最暗的星。
月相是月球环绕地球公转时,地球、月球、太阳之相对位置的变化,地球上的观测者从不同角度看到月球被太阳照亮的部分,造成月相盈亏圆缺之变化。月相盈亏周期平均是29.530588日,历法中之朔望月源于此。
朔、蛾眉月、上弦、盈凸月、望、亏凸月、下弦,残月分别是月球视黄经超过太阳视黄经0、45、90、135、180、225、270、315度的时刻。
阴历是按月球的月相周期来安排的历法,它的一年有12个朔望月,约354或355日。主要根据月球绕地球运行一周时间为一个月,称为朔望月,大约29.530588日,大月有30日、小月有29日。
月龄是指从新月为起始,在一个朔望月周期内,出现各种月相所经历的天数。月龄的数值通常用带一位小数的数字表示,比如月龄7.4是上弦月,月龄14.8是满月,月龄22.2是下弦月。因此月龄和阴历是有关连的,只不过阴历只显示朔望月每日的整数,而月龄是计算月相所经历的天数,为求更加准确,很多时会显示至小数后一个位(甚至几个位)。如果知道确实的月龄,便能推算出当时月球大致的形状、出没时刻及所在方位。
月掩星:月球在天空中每月移动一周,每小时约东移半度多,相当于月球的视角直径。月球移动时常将恒星和行星掩蔽起来,这种现象称为月掩星。观测月掩星可以测定观测者的地理坐标、研究双星、测定太阳视差及月球位置等,是业余天文学家感兴趣的观测项目之一。专业天文学家亦需要仰赖月掩射电源来求出射电源的准确位置。
合月、月掩星、行星间和行星与恒星相合:行星或恒星合月以及行星之间、行星与恒星相合都是指视赤经相合而言。行星在天球上运行的路线以及四颗亮恒星(毕宿五、轩辕十四、角宿一和心宿二)都很接近黄道,因而月球18.6年交点运动周期内有机会掩蔽它们。
视赤经和视赤纬系以当天真春分点和真赤道为准,章动长周期项和短周期项以及行星光行差都以包括在内,但没有包括太阳引力场引起的光线偏转的影响。视位置由真位置加行星光行差改正得出,其关系式为
α视=α真-0.00577552×Δ×δα δ视=δ真-0.00577552×Δ×δδ
其中Δ为行星的地心距,δα和δδ分别为赤经和赤纬的每日变化。
地心距为行星中心至地心的真距离,不包括光行差的影响。
合日和冲日:外行星或小行星视黄经与太阳视黄经相同的时候称为合日,相差180度的时候叫做冲日。内行星(水星和金星)的合日有上合和下合之分,上合是行星在太阳之后,即太阳在内行星与地球之间,下合是行星在太阳之前,即行星在太阳与地球之间,上合的时候,行星是顺行,即行星由西向东移动,下合时是逆行,即行星由东向西移动。行星相邻两次合日(或冲日)的平均间隔称为会和周期,根据行星的平均运动得出行星的会和周期如下:
水星 115.88日 土 星 378.09日 金星 583.92日 天王星 369.66日 火星 779.94日 海王星 367.48日 木星 398.88日 冥王星 366.72日
由于轨道偏心率和摄动的影响,实际间隔与会和周期有一定的差异。
留:由于地球和行星绕日运动时运行速度和相对位置的不同,行星在天空的视运动有时顺行(自西向东),有时逆行。顺行和逆行之间有一个时刻行星看来是停留不动的,这叫做留。顺行而留,留后逆行叫做顺留;逆行而留,留后顺行叫做逆留。内行星发生在上合日以后,外行星发生在冲日以后。
东大距和西大距:外行星对太阳的角距可以为任何数值,在180度时为冲日。而内行星由于轨道是在地球轨道内侧,所以从地球上看,它们对太阳的角距不能超过某种限度,并且没有冲日现象。内行星在太阳之东(或西)的最大角距称为东(或西)大距。水星在下合日前后约20天达东大距或西大距,由于水星轨道偏心率比较大,最大角距变化在18度~28度之间。金星在下合日前后70天左右达东西大距,角距约为46度~48度。内行星发生的天象其循环总是这样:下合-留-西大距-上合-东大距-留-下合。
方照:对外行星而言,行星视黄经超过太阳视黄经90度和270度时为方照,在太阳以东90度时称为东方照,在太阳以西90度时为西方照。
距角:是自地球看行星与太阳之间的角度,从太阳向东或向西计算,由0°至180°,但由于行星轨道与黄道有一定的倾斜,行星合日和冲日时,距角不一定恰好是0°或180°。 距角E是用下式计算: cosE=(R²+△²-r²)/2R△ 其中R和r分别是地球和行星的日心向径,△是行星的地心距离。
金星最亮:从地球看金星,也像月球一样有盈亏晦明现象。金星约在下合日前后36天,或东大距之后西大距之前35天为最亮。金星的会合周期约为584天,所以它的最亮日期有时全年都没有,有时一年有两次。 关于金星的亮度计算采用下列公式计算: m=-4.47+5lgrΔ+0.0103i+0.000057i²+0.00000013i³,2.2<i<163.6; 0.98+5lgrΔ-0.0102i,163.6<i<170.2。 i以“度”为单位,r、Δ以“天文单位”为单位。 位相角采用下列公式计算: 设L与B表示其日心的、l与b表示其地心的黄经与黄纬,θ表示太阳的黄经,且将其黄纬略而不计。设在太阳一地球一行星三点所组成的平面三角形内,以σ表示地球所在的角,σ'表示太阳所在的角,则 cosσ=cos(θ-l)cosb cosσ'=-cos(θ-L)cosB i=180-(σ-σ') σ角是地面观测者所看的行星对于太阳的距角,常小于直角;σ'角在一或二象限内,按其余弦的符号而决定。
火星最近地球:火星在一回合周期里,有一次距离地球最近,发生在冲日附近。2025年1月12日21时37分,火星最近地球。
过近日点和过远日点:假使不考虑摄动影响,行星的轨道为一椭圆,而太阳在其焦点上,行星在轨道上离太阳最近的一点,称为近日点,最远的一点称为远日点。所列过近日点和过远日点日期是行星向径为极小或极大的日期,也就是已经考虑摄动的影响,这与由平均轨道根数近日点黄经等于0度或180度的日期稍有不同。
行星纬度最南最北:是日心黄纬最南、最北的时刻,最北时黄纬为正,最南时黄纬为负。
仙后座RZ星(HIP 13133)是仙后座中的一颗恒星,以食变星闻名。学名为RZ Cassiopeiae(缩写为RZ Cas)。1906年被发现。它的变化周期仅为1.1953天。亮度在6.18等至7.72等之间变化。由于它的快速变暗和变亮变化以及可以用双筒望远镜轻松观察到其亮度,因此它在天文爱好者中很受欢迎! 仙后座RZ星在阁道一(仙后座ι星)附近。通过连接阁道三(仙后座δ星)和阁道二(仙后座ε星,是“W”最左边的恒星)而在仙后座ε星方向上以相同的长度寻找4.5等星就是仙后座ι星。一旦找到了仙后座ι,您就可以使用外部链接星图轻松找到仙后座RZ。它位于银经132.89、银纬9.07,其B1900.0坐标为赤经α2h39m54.1s、赤纬δ+69°9.07′49″。
预报的时间同时适用于所有东八时区(UTC+08:00)的地方,包括:中国、蒙古、菲律宾、新加坡、马来西亚、文莱、西澳大利亚。
1、《2025年中国天文年历》科学出版社,ISBN: 9787030770585 2、《十年袖珍月历 2025-2034年》气象出版社,ISBN: 9787502981570 3、李广宇、张培瑜著《PMOE2003行星历表框架》,《紫金山天文台台刊》第22卷,3~4期(2003年12月) 4、《大众万年历 1901-2050年》1994年10月第2版,上海科学技术出版社 5、有趣天文奇观
2025年天象预报资料,可在“有趣天文奇观”网站下取得,欢迎多加利用!http://interesting-sky.china-vo.org/categories/year/
欢迎关注本站公众号
实时获取最新咨询
移动端首页 | PC端
免责声明:本站资料来自网络和网友分享,如有侵权请联系本站
Email:wlcz_8@163.com 站长QQ:17893691
2026© by Qi Mobile Web
数据来源:中国科学院紫金山天文台
资料整理:杨旸、高良超、ZY-LunarCrater
时刻系东经120度标准时(北京时间)
2025年3月12日凌晨,国际天文学联合会小行星中心宣布:土星卫星总数达到创纪录的274颗。
天象包括行星天象(合日、冲日、凌日、大距、行星最小角距、地球过远近日点、升降交点、纬度最南最北,以及行星相合、行星合恒星等),二分二至,日月食,月相,月球过远近地点、月掩行星和恒星,变星,彗星,流星雨,月闪等诸多天文事件。
二十四节气是中国古代订立的一种用来指导农事的国家历法,节气对农业生产至关重要。清明节这个民俗节日是以二十四节气中的“清明”为准,亦即节气“清明”落在哪一天,即以该日为清明节。2025年的节气清明落在4月4日20时48分34秒,因此2025年4月4日为清明节。由于节气在公历(4年1闰)上的日期随着阳历年的长度而有所变动,因此清明有可能会是在4月的4、5或6日。
在4月的行星部分,上半夜火星可见于天顶附近,木星位于西偏北高空,天王星则位于西方附近低空。水星、金星及土星日出前可见于东方附近低空。星空部分,4月份除了西方天空冬季星空7颗明亮的一等星外,在东方,分别能见东北东方牧夫座的大角,以及东南东方室女座的角宿一,再以这两颗亮星为春季大三角形的底,向上的正三角形顶部附近可找到1颗二等星,那是狮子座尾巴的五帝座一,这三颗星排列成“春季大三角”,是我们春季观星的指标。
春季认星歌(捕鱼歌)
春风送暖学认星,北斗高悬柄指东,
斗口两星指北极,找到北极方向清。
狮子横卧春夜空,轩辕十四一等星,
牧夫大角沿斗柄,星光点点照航程。
(取自台北市立天文科学教育馆)
太阳系天体动态
[ 合、冲:黄经基准。留:赤经基准。 ]
太阳: 由双鱼座运行至白羊座。4日20时49分清明,20日3时56分谷雨。
水星: 在双鱼座,逆行,6日留后转为顺行。22日西大距。上、下半月分别约于凌晨5、4时于东方地平升起,日出前可见于东方低空。视星等-3.2→+0.0等,视直径11.1”→6.9”。
金星: 在双鱼座,逆行,10日留后转为顺行。上、下半月分别约于凌晨4-5、3-4时于东方地平升起,日出前可见于东方低空。视星等-4.3→-4.7等,视直径56.9”→37.1”。
火星: 由双子座移至巨蟹座,顺行。日没后可见于天顶附近天空。上、下半月分别于1-2、0-1时没入西偏北方地平。视星等+0.4→+0.9等,视直径8.2”→6.6”。
木星: 在金牛座顺行。日没后可见于西方附近天空。上、下半月分别约于夜晚22-23、21-22时没入西北西方地平。视星等-2.1→-2.0等,视直径36.1”→33.8”。
土星: 由宝瓶座移至双鱼座,顺行。上、下半月分别约于凌晨4-5、凌晨3-4时于东方地平升起,日出前可见于东方附近低空。视星等+1.2等,视直径15.8”→16.1”。
天王星: 在金牛座顺行。日没后可见于西方。视星等+5.8等,视直径3.5”→3.4”。
海王星: 在双鱼座顺行。日出前可见于东方。视星等+8.0→+7.9等,视直径2.2”。
冥王星: 在摩羯座顺行。日出前位于东南方。视星等+14.5等,视直径0.1”。
推荐天象
2025/4/3 月掩五车五
五车五(普通话:wǔ chē wǔ,粤语:ng5 ce1 ng5),“车”要唸chē,“居”的读音只限用在象棋棋子。
4月3日19时前后,月掩五车五(金牛座β星,1.7等),恒星由月球暗缘掩入。可用小型天文望远镜追踪观测。金牛座是黄道星座之一,而当月球的上升点接近昼夜平分点时,月球将会遮掩五车五。
现象 北京时间 地理经度 地理纬度
掩始 16:32:36.4 36.58674 -8.53413
掩甚 18:40:24.9 90.36685 21.02224
掩终 20:48:13.6 146.60642 -2.19922
掩星时长93分30秒,掩带宽3505.3公里
2025/4/4 月掩井宿增六
4月4日22时前后,月掩井宿增六(御夫座49,5.3等),恒星由月球暗缘掩入。可用小型天文望远镜追踪观测。
井宿增六(49 Aurigae),是一颗位于御夫座的矮星(Main Sequence Star),视星等为5.27等,距离地球约369.8光年或113.38秒差距。位于银经186.04,银纬9.13,其B1900.0坐标为赤经6h28m54.1s,赤纬+28°9.13′1″。它是一颗典型的蓝白色恒星,寿命可能只有1000万年,是短命的恒星。没有已知的太阳系外行星围绕在这颗恒星的轨道上。
现象 北京时间 地理经度 地理纬度
掩始 18:59:20.6 0.94009 18.75909
掩甚 21:04:36.3 72.52857 49.51043
掩终 23:09:53.0 134.2646 10.626
掩星时长78分55秒,掩带宽3729.6公里
2025/4/4 清明
2025年4月4日20时48分34秒清明,太阳视黄经15°,太阳视赤纬+5°54’33”。《历书》:“春分后十五日,斗指丁,为清明,时万物皆洁齐而清明,盖时当气清景明,万物皆显,因此得名。”清明一到,气温升高,正是春耕春种的大好时节,故有“清明前后,种瓜点豆”“清明时节,麦长三节”之说。
清明节,又称踏青节、行清节、三月节、祭祖节等,是中华民族古老的节日,也是最重要的祭祀节日之一,是祭祖和扫墓的日子。清明既是自然节气点,也是传统节日。2006年5月20日列入第一批国家级非物质文化遗产名录。
2025/4/5 月面X浮现
上弦月的时候,在月面的缺口处可以看到像字母“X”一样的地形。这种现象就是“月面X”,从附近的维尔纳(Werner)撞击坑的名字来看,在国外被称为“WernerX”或“LunarX”。月面X似乎很早就被看到了,2004年由加拿大的Chapman等人报告后,变得广为人知。月面X并不是每次上弦都能看到的。因为持续时间只有1小时左右,所以机会难得。
2025年4月5日22:09月面X浮现,月面X的地理基准点经纬度坐标为0.9°E、25.3°S,月面余经度(selenographic colongitude)为358°,最佳观察时间为预报时刻前后一小时。观察“月面X”需要使用高倍率的天文望远镜。
2025/4/6 北河三合月 + 火星合月
4月6日01:24北河三合月(视赤经7h46m51s),地心所见北河三在月球以北2.01度的地方;之后03:04火星合月(视赤经7h50m47s),地心所见火星在月球以南2.17度的地方。但此时已经没入地平线下。
可在4月5日日落后,朝西边的方向。可以看到上弦的半月。月球的左上角有红光闪烁的火星,上方有双子座的一等星北河三。亮度分别为0.5等和1.2等,间隔为3.6度和3.0度。另外,火星和北河三的间隔为4.4度,在比较小的范围内聚集了3个天体。下个月火星就要离开了,趁此机会用肉眼或双筒望远镜观赏它们吧。
2025/4/13 年度最小满月 + 角宿一合月
2025年4月13日8时22分为望,本次满月刚好发生在远地点(4/14 06:48)前约23小时,因相对距离月球较远,所以月面看起来会觉得比较小,是年度最小满月,满月时月球距离地球约40万6006.17公里,月面视直径约为29.13角分,比今年11月5日年度最大满月的视直径小约14.3%。话虽如此,在中国最容易看到满月的21点左右,距离最远的时刻相差了将近半天,所以并不是真正意义上的最小。
21点左右,朝东南方向,在稍低的位置可以看到今年最小的满月,最小的月亮。在月球以北约6度的地方,有颗发着蓝白色光芒的恒星室女座角宿一。从北斗七星的斗柄到角宿一的这条曲线叫做“春季大曲线”。请一起观赏。
2025/4/16 中国西双版纳傣历新年
2025年4月16日是中国西双版纳傣历新年,傣历蛇年六月下四日,象征傣历1387新年第一天开始。
傣历,巴利语:祖腊萨咖拉扎。中国云南少数民族使用的历法。傣历,该历年长为365.25875日,月长29.530583日,平年十二个月(354天或355天),闰年十三个月(384天)。19年置7个闰月,皆置闰月在九月。所用二十四节气与农历相同。采用支纪日、纪年和十二生肖。傣历干支约东汉时由汉地传入,使用12属相纪年岁。每月又分“月出”和“月下”两个半月,望月(十五日)之后称“月下一日”,顺序至晦日。并使用七曜(日、月及火、水、木、金、土五星)为纪日的周纪法。
2025/4/20 谷雨
2025年4月20日03时56分01秒谷雨,太阳视黄经30°,太阳视赤纬+11°28’17”。谷雨是二十四节气之第六个节气,春季的最后一个节气。谷雨取自“雨生百谷”之意,此时降水明显增加,田中的秧苗初插、作物新种,最需要雨水的滋润,降雨量充足而及时,谷类作物能茁壮成长。谚语有:“谷雨时节种谷天,南坡北洼忙种棉”“谷雨栽上红薯秧,一棵能收一大筐”等等。
2025/4/20 忠神星冲日
4月20日小行星37号忠神星冲日,是观测这颗小行星的最好时机。
2025/4/22 水星西大距
2025年4月22日2时49分为水星西大距,距离太阳西侧最远,最大离角27.38度,视星等0.42等。位于双鱼座旁,日出前可见于东方附近低空。这次西大距条件最差。虽然距角有27.4度,但是因为在与地平线平行的方向上远离太阳,所以高度不会变高。水星有0.4等的亮度,找到也很困难,建议使用双筒望远镜。
水星上个月3月8日刚刚达到东大距,但仅仅一个半月,4月22日水星成为西大距。虽然可能会觉得间隔很短,但是大距每年会发生6到7次,所以并不是很短。
2025/4/22 四月天琴座流星雨极大期(ZHR~18)
“四月天琴座流星雨(普通话:sì yuè tiān qín zuò liú xīng yǔ,粤语:sei3 jyut9 tin1 kam4 zo6 lau4 sing1 jyu5)”,听起来觉得不习惯。以前叫“天琴座流星雨”,但2009年国际天文学联合会(IAU)确定命名后,“四月天琴座流星雨”就成了正式名称,这也没办法。
2025年4月23日凌晨观测条件良好
四月天琴座流星雨(April Lyrids,00006 LYR)出现日期介在4月14日至30日之间,它是中等强度的流星雨,其活跃期在每年4月15日至29日,今年在4月22日21时左右达到极大。21日为下弦,但是,因为在月亮升起之前可以观测到,所以条件良好。半夜以后辐射点的位置会变高,所以推荐在这个时间段观测。随着黎明的临近,流星数应该会增加,但是因为月亮会升起,所以预估每小时最多7到10颗左右吧。
往年的话,每小时最多出现5到10颗左右的小流星雨。但是,如果条件具备的话,也不是没有达到15到20颗的年份。
世界上最早关于流星雨的记载,出自公元前687年的中国,《春秋左传·庄公七年》记载了四月天琴座流星雨:“夏四月辛卯夜,恒星不见,夜中星陨如雨。”
流星雨中的流星是彗星带来的小沙粒和尘埃。流星雨中的母彗星,接近母彗星的轨道的话流星会比平时多。四月天琴座流星雨的母彗星是周期为415年的C/1861 G1 (Thatcher) 佘契尔(普通话:shé qiè ěr)彗星。佘契尔彗星的公转周期为415年,是流星雨的母彗星中最长的。预计下一次接近地球是在2283年左右。
请用流星雨代码登记
不要跟六月天琴座流星雨(June Lyrids,00166 JLY)、天琴座η流星雨(eta Lyrids,00145 ELY)、天琴座λ流星雨(lambda Lyrids,00349 LLY)、天琴座μ流星雨(mu Lyrids,00413 MUL)、天琴座κ流星雨(kappa Lyrids,00464 KLY)、天琴座R流星雨(R Lyrids,00653 RLY)、天琴座γ流星雨(gamma Lyrids,00794 GLY)混淆了。
2025/4/25 金星合月 + 土星合月
4月25日上午09:21金星合月(视赤经23h46m30s),地心所见金星在月球以北2.39度的地方;中午12:23土星合月(视赤经23h53m02s),地心所见土星在月球以南2.29度的地方;下午18:06海王星合月(视赤经0h05m24s),地心所见海王星在月球以南1.86度的地方。因为在白天,当然是看不到了,不过可以早起。
4月25日凌晨2点左右,请朝东边的方向,可以看到残月。因为28日是新月,所以形状像月牙。在月球左侧约5.6度远的地方,有一颗明亮发光的金星。还有距离月球左下方约4.5度,以1.2等发光的土星。金星和土星的间隔约4.2度,是3个天体聚集在一起的样子。高度最低而且最暗的是土星。曙光马上开始了,所以要早点看比较好。
2025/4/26 水星合月
4月26日上午09:04水星合月(视赤经0h38m17s),地心所见水星在月球以南4.40度的地方。黎明前,请看东边的方位,极低的位置,有非常细的残月,两天后是新月。因为辉面比只有0.06,所以月光很微弱,用肉眼找到很困难吧。水星位于月球下侧约3.1度远的地方,呈纵向排列。0.3等,应该很明亮,但低空和晨光相辅相成,相当难看到吧。如果是10倍左右的双筒望远镜的话,可以纳入同一视野,所以推荐使用双筒望远镜。
这一对的右上角还有一对——金星和土星。29日是最近的一天,会接近3.7度,但今天也是4.0度,没什么变化。顺便看看就好。(在稍微早一点的时间段)
2025/4/26 权神星冲日
4月26日小行星100号权神星冲日,是观测这颗小行星的最好时机。
2025/4/27 金星第二次最大亮度(-4.8等,启明星) + 金星正在接近土星
2025年4月27日18时金星第二次最大亮度(-4.8等,视直径38.6″),很明亮。金星最大亮度发生在下合前后36天左右。因为下合是3月21日,所以上次是下合的34天前,这次是下合的37天后。根据金星发光的面积和地球与金星的距离的关系,变成月牙形的时候最明亮。因为这次亮度是-4.8等,所以说是异样的亮度也不为过。金星在中国古代被称为太白金星,清晨在东方天空出现则被称为“启明星”。金星正在接近土星,间隔约3.9度,看起来是很近的位置。但是,因为是曙光很强的时间段,所以为了看土星,准备双筒望远镜是必要的。
2025/4/27 期女星冲日
4月27日小行星72号期女星冲日,是观测这颗小行星的最好时机。
2025/4/29 土星合金星
4月29日上午10:25土星合金星(视赤经23h54m34s),地心所见土星在金星以南3.72度的地方。可在4月29日黎明前东边的方向看见金星和土星并排。在低位置闪耀的金星映入眼帘。金星的右下角有1.2等的土星。间隔约3.7度。现在天色还很暗,但之后会越来越亮。如果在很晚的时间看的话,因为担心能不能看到土星,所以要提前准备双筒望远镜比较好。
金星和土星的接近不仅仅是今天。三天前的26日正好4度。27日为3.9度,28日为3.8度。而且,明天30日是3.7度,5月1日是3.8度,2日正好是4度。如果今天看不到,请另一天看。
2025/4/30 光神星冲日
4月30日小行星66号光神星冲日,是观测这颗小行星的最好时机。
各地见月掩星时间表
根据ELP2000-82/HIP依巴谷星表恒星视位置预报2025年4月月掩星情况。主要包括掩始、掩终的东八区(北京时)时刻,掩始掩终时刻的位置角(P,V分别由月面北点和最高点向东计量)和行星中心高度h及日出日落等。
详细天象
2025/04/01 宝瓶座S星极大(米拉变星,7.6~15.0等,周期279日)
2025/04/01 06h P/2019 A8 (PanSTARRS)泛星彗星通过近日点(周期6.3年)
2025/04/01 18:36 仙后座RZ星极小(大陵五型食变星)
2025/04/01 21:51 天王星合月,天王星在月球以南4.87度(瞬时中天经度:14.52985141)
2025/04/02 00:30 天琴座β星渐台二极小(密近双星,EB原型)
2025/04/02 00:44 天秤座δ星氐宿增一极小(大陵五型食变星)
2025/04/02 23:18 仙后座RZ星极小(大陵五型食变星)
2025/04/03 08:23 木星合月,木星在月球以南5.51度(瞬时中天经度:-122.2231449)
2025/04/03 14h 水星过天赤道,进入南半球
2025/04/03 19h 月掩五车五(金牛座β星,1.7等),恒星由月球暗缘掩入
2025/04/04 03:59 仙后座RZ星极小(大陵五型食变星)
2025/04/04 04h 486P/Leonard伦纳德彗星通过近日点(周期6.9年)
2025/04/04 06:03 月球视赤纬最北(δ+28°42.2′)
2025/04/04 11h C/2024 V1 (Borisov)鲍里索夫彗星通过近日点
2025/04/04 20:49 清明,太阳视黄经15°,太阳视赤纬+5°54’33”
2025/04/05 天鹰座R星极大(米拉变星,5.5~12.0等,周期270日)
2025/04/05 10:15 上弦
2025/04/05 22:09 月面X浮现
2025/04/06 01:24 北河三合月,北河三在月球以北2.01度
2025/04/06 03:04 火星合月,火星在月球以南2.17度(瞬时中天经度:-2.560122065)
2025/04/06 14:21 水星留(视赤经23.80h),转为顺行
2025/04/07 18:03 仙后座RZ星极小(大陵五型食变星)
2025/04/08 20:33 轩辕十四合月,轩辕十四在月球以南2.14度
2025/04/08 21h 冥王星视赤纬最北(δ+22°43′)
2025/04/08 22:44 仙后座RZ星极小(大陵五型食变星)
2025/04/09 00:18 天秤座δ星氐宿增一极小(大陵五型食变星)
2025/04/10 天鸽座T星极大(米拉变星,6.6~12.7等,周期229日)
2025/04/10 03:25 仙后座RZ星极小(大陵五型食变星)
2025/04/10 22:59 金星留(视赤经23.54h),转为顺行
2025/04/10 23h 49P/Arend-Rigaux阿朗-里戈彗星通过近日点(周期6.7年)
2025/04/11 03:56 月球过降交点
2025/04/11 08:17 月球过天赤道,进入南半球
2025/04/11 18h C/2024 N3 (Sárneczky)萨尔内茨基彗星通过近日点
2025/04/13 03h 水星视赤纬最南(δ-1°55′)
2025/04/13 08:22 望,年度最小满月,距离40万6006.19公里,视直径29.13’,农历三月十六日
2025/04/13 10:23 角宿一合月,角宿一在月球以北0.35度
2025/04/13 17:29 仙后座RZ星极小(大陵五型食变星)
2025/04/14 武仙座T星极大(6.8~13.7等,周期165日)
2025/04/14 06:48 月球过远地点,40万6295.080公里,视直径29.41′
2025/04/14 16h 289P/Blanpain布朗平彗星通过近日点(周期5.3年)
2025/04/14 22:10 仙后座RZ星极小(大陵五型食变星)
2025/04/14 23:06 天琴座β星渐台二极小(密近双星,EB原型)
2025/04/15 室女座α流星雨极大期(ZHR<2),1颗/时
2025/04/15 08h 456P/PanSTARRS泛星119号彗星通过近日点(周期5.6年)
2025/04/15 20:29 英仙座β星大陵五极小(大陵五型食变星原型,2.1~3.4等,变光周期2.87日)
2025/04/15 23:51 天秤座δ星氐宿增一极小(大陵五型食变星)
2025/04/16 中国西双版纳傣历新年,傣历1387蛇年六月下四日
2025/04/16 02:51 仙后座RZ星极小(大陵五型食变星)
2025/04/17 02:33 海王星合水星,海王星在水星以北0.69度
2025/04/17 06:12 火星过远日点,1.66606 AU
2025/04/17 07:02 心宿二合月,心宿二在月球以南0.42度
2025/04/17 21:17 水星过远日点(距离太阳0.467au)
2025/04/18 17:18 英仙座β星大陵五极小(大陵五型食变星原型,2.1~3.4等,变光周期2.87日)
2025/04/18 21:12 月球视赤纬最南(δ-28°38.2′)
2025/04/20 仙女座R星极大(米拉变星,5.8~15.2等,周期409日)
2025/04/20 03:56 谷雨,太阳视黄经30°,太阳视赤纬+11°28’17”
2025/04/20 21:36 仙后座RZ星极小(大陵五型食变星)
2025/04/21 09:34 火星东方照(亮度0.8等,视直径7.1”)
2025/04/21 09:36 下弦
2025/04/22 双子座R星极大(米拉变星,6.0~14.0等,周期370日)
2025/04/22 02:18 仙后座RZ星极小(大陵五型食变星)
2025/04/22 02:49 水星西大距(距角27.4°,0.4等,视直径7.9″)
2025/04/22 21h 四月天琴座流星雨极大期(ZHR~18),10颗/时,良好
2025/04/22 23:25 天秤座δ星氐宿增一极小(大陵五型食变星)
2025/04/23 船尾座π流星雨极大期(ZHR不定)
2025/04/23 01h 341P/Gibbs吉布斯6号彗星通过近日点(周期8.9年)
2025/04/23 12h 水星过天赤道,进入北半球
2025/04/23 14h C/2024 L1 (PanSTARRS)泛星彗星通过近日点(周期38.8年)
2025/04/25 09:21 金星合月,金星在月球以北2.39度(瞬时中天经度:123.0177799)
2025/04/25 10:23 月球过升交点
2025/04/25 12:23 土星合月,土星在月球以南2.29度(瞬时中天经度:78.96079647)
2025/04/25 14:32 月球过天赤道,进入北半球
2025/04/25 18:06 海王星合月,海王星在月球以南1.86度(瞬时中天经度:-3.744260725)
2025/04/26 00h 金星视赤纬最南(δ-0°52′)
2025/04/26 08h C/2024 J4 (Lemmon)莱蒙彗星通过近日点
2025/04/26 09:04 水星合月,水星在月球以南4.40度(瞬时中天经度:139.2070178)
2025/04/26 21:02 仙后座RZ星极小(大陵五型食变星)
2025/04/27 18h 金星最大亮度(-4.8等,视直径38.6″)
2025/04/27 21:42 天琴座β星渐台二极小(密近双星,EB原型)
2025/04/28 巨蛇座R星极大(米拉变星,5.2~14.4等,周期356日)
2025/04/28 00:18 月球过近地点,35万7118.541公里,视直径33.46′
2025/04/28 01:44 仙后座RZ星极小(大陵五型食变星)
2025/04/28 03:31 朔,年度最大新月,35万7136.43公里,农历四月初一
2025/04/29 10:25 土星合金星,土星在金星以南3.72度
2025/04/29 10:22 天王星合月,天王星在月球以南4.85度(瞬时中天经度:161.232497)
2025/04/29 22:59 天秤座δ星氐宿增一极小(大陵五型食变星)
说明
注1:凡称行星合月、恒星合月、行星合恒星、行星合行星,皆指地心视赤经相同;惟合日、冲日则用地心视黄经。
注2:瞬时中天经度是指行星合月与恒星合月、行星合恒星与行星合行星时,由北极向南极的同一地理经度都能同时看到它们相合时的瞬时中天(纬度不必考虑)。例如2025/4/25/12:23土星合月(视赤经合),地处东经78.9度经线上可以看到它们同时到达中天。中天即是当地的视子午线。详见紫金山天文台官方微信说明。
注3:部分天象(彗星、流星雨、变星等)由于误差原因,无法(也不可能)精确到分钟。
天象载太阳、月球和行星的动态以及其他天文现象,包括:
(1)行星的地心天象(冲日、合日、方照、留、内行星东西大距以及金星最亮、火星最近地球等)和日心天象(过近日点和远日点、纬度最北和最南、过升交点和过降交点等);
(2)日月食概况;
(3)朔、望、两弦,月球过近地点和远地点;
(4)月掩行星或掩四颗亮恒星(毕宿五即金牛座α星、轩辕十四即狮子座α星、角宿一即室女座α星、心宿二即天蝎座α星),行星合月,行星之间以及行星与五颗亮恒星(除上列四颗外,另加北河三即双子座β星)之间相合。掩星和合月如果距离合朔24h之内,即不列出,行星之间相合或行星与恒星相合如果距离太阳10°以内,也不列出。
名词解释
现把各种天象分别说明如下:
天顶每时出现率(Zenithal Hourly Rate,Rate:率,简称ZHR),是天文学专有名词。来自中国天文学会天文学名词审定委员会审定发布的天文学专有名词中文译名。假设辐射点位于仰角90度的天顶,在理想情况下,一个肉眼视力能够看到6.5等星的观测者可以看见的流星数量最多的流量值。实际能看见的会低于此一数值。
ZHR不应该翻译成“每小时天顶流星数”,国际流星组织(IMO)没有“ZHN=Zenith Hourly Number(天顶每小时流星数)”、“ZHF=Zenith Hourly flow quantity(每小时天顶流量)”这一类的词。维基百科和百度百科根据国际流星组织2017年12月21日上架的《2018流星雨日历》中文版开始,将ZHR翻译为“天顶每时出现率”。开源星空模拟软件Stellarium(虚拟天文馆)亦在最新的25.1版本中更新了zh_CN和zh_HK的翻译。
预报当地可见的流星数(Number),可按照下列公式计算:
其中,N为可见流星数目(颗);Teff为观测时长;K为云量遮盖率(百分比);lm为可见最暗星星的亮度(最佳条件为6.5等,实际需考虑当地光污染因素);hR为流星雨辐射点距地平线的仰角(地平高度);r为亮度指标,r值通常介于2.0(明亮)到3.5(暗淡)之间。
晨昏蒙影(台湾名:曙暮光):日出前和日没后由高空大气散射太阳光引起的天空发亮的现象称为晨昏蒙影;在日出前的叫做晨光,在日没后的叫做昏影。太阳中心在地平下6°时称为民用晨光始或民用昏影终,这时光线暗淡,需要人工照明。太阳中心在地平下18°时称为天文晨光始或天文昏影终,这时天空完全黑暗,可以看到目视最暗的星。
月相是月球环绕地球公转时,地球、月球、太阳之相对位置的变化,地球上的观测者从不同角度看到月球被太阳照亮的部分,造成月相盈亏圆缺之变化。月相盈亏周期平均是29.530588日,历法中之朔望月源于此。
朔、蛾眉月、上弦、盈凸月、望、亏凸月、下弦,残月分别是月球视黄经超过太阳视黄经0、45、90、135、180、225、270、315度的时刻。
阴历是按月球的月相周期来安排的历法,它的一年有12个朔望月,约354或355日。主要根据月球绕地球运行一周时间为一个月,称为朔望月,大约29.530588日,大月有30日、小月有29日。
月龄是指从新月为起始,在一个朔望月周期内,出现各种月相所经历的天数。月龄的数值通常用带一位小数的数字表示,比如月龄7.4是上弦月,月龄14.8是满月,月龄22.2是下弦月。因此月龄和阴历是有关连的,只不过阴历只显示朔望月每日的整数,而月龄是计算月相所经历的天数,为求更加准确,很多时会显示至小数后一个位(甚至几个位)。如果知道确实的月龄,便能推算出当时月球大致的形状、出没时刻及所在方位。
月掩星:月球在天空中每月移动一周,每小时约东移半度多,相当于月球的视角直径。月球移动时常将恒星和行星掩蔽起来,这种现象称为月掩星。观测月掩星可以测定观测者的地理坐标、研究双星、测定太阳视差及月球位置等,是业余天文学家感兴趣的观测项目之一。专业天文学家亦需要仰赖月掩射电源来求出射电源的准确位置。
合月、月掩星、行星间和行星与恒星相合:行星或恒星合月以及行星之间、行星与恒星相合都是指视赤经相合而言。行星在天球上运行的路线以及四颗亮恒星(毕宿五、轩辕十四、角宿一和心宿二)都很接近黄道,因而月球18.6年交点运动周期内有机会掩蔽它们。
视赤经和视赤纬系以当天真春分点和真赤道为准,章动长周期项和短周期项以及行星光行差都以包括在内,但没有包括太阳引力场引起的光线偏转的影响。视位置由真位置加行星光行差改正得出,其关系式为
α视=α真-0.00577552×Δ×δα
δ视=δ真-0.00577552×Δ×δδ
其中Δ为行星的地心距,δα和δδ分别为赤经和赤纬的每日变化。
地心距为行星中心至地心的真距离,不包括光行差的影响。
合日和冲日:外行星或小行星视黄经与太阳视黄经相同的时候称为合日,相差180度的时候叫做冲日。内行星(水星和金星)的合日有上合和下合之分,上合是行星在太阳之后,即太阳在内行星与地球之间,下合是行星在太阳之前,即行星在太阳与地球之间,上合的时候,行星是顺行,即行星由西向东移动,下合时是逆行,即行星由东向西移动。行星相邻两次合日(或冲日)的平均间隔称为会和周期,根据行星的平均运动得出行星的会和周期如下:
水星 115.88日 土 星 378.09日
金星 583.92日 天王星 369.66日
火星 779.94日 海王星 367.48日
木星 398.88日 冥王星 366.72日
由于轨道偏心率和摄动的影响,实际间隔与会和周期有一定的差异。
留:由于地球和行星绕日运动时运行速度和相对位置的不同,行星在天空的视运动有时顺行(自西向东),有时逆行。顺行和逆行之间有一个时刻行星看来是停留不动的,这叫做留。顺行而留,留后逆行叫做顺留;逆行而留,留后顺行叫做逆留。内行星发生在上合日以后,外行星发生在冲日以后。
东大距和西大距:外行星对太阳的角距可以为任何数值,在180度时为冲日。而内行星由于轨道是在地球轨道内侧,所以从地球上看,它们对太阳的角距不能超过某种限度,并且没有冲日现象。内行星在太阳之东(或西)的最大角距称为东(或西)大距。水星在下合日前后约20天达东大距或西大距,由于水星轨道偏心率比较大,最大角距变化在18度~28度之间。金星在下合日前后70天左右达东西大距,角距约为46度~48度。内行星发生的天象其循环总是这样:下合-留-西大距-上合-东大距-留-下合。
方照:对外行星而言,行星视黄经超过太阳视黄经90度和270度时为方照,在太阳以东90度时称为东方照,在太阳以西90度时为西方照。
距角:是自地球看行星与太阳之间的角度,从太阳向东或向西计算,由0°至180°,但由于行星轨道与黄道有一定的倾斜,行星合日和冲日时,距角不一定恰好是0°或180°。
距角E是用下式计算:
cosE=(R²+△²-r²)/2R△
其中R和r分别是地球和行星的日心向径,△是行星的地心距离。
金星最亮:从地球看金星,也像月球一样有盈亏晦明现象。金星约在下合日前后36天,或东大距之后西大距之前35天为最亮。金星的会合周期约为584天,所以它的最亮日期有时全年都没有,有时一年有两次。
关于金星的亮度计算采用下列公式计算:
m=-4.47+5lgrΔ+0.0103i+0.000057i²+0.00000013i³,2.2<i<163.6;
0.98+5lgrΔ-0.0102i,163.6<i<170.2。
i以“度”为单位,r、Δ以“天文单位”为单位。
位相角采用下列公式计算:
设L与B表示其日心的、l与b表示其地心的黄经与黄纬,θ表示太阳的黄经,且将其黄纬略而不计。设在太阳一地球一行星三点所组成的平面三角形内,以σ表示地球所在的角,σ'表示太阳所在的角,则
cosσ=cos(θ-l)cosb
cosσ'=-cos(θ-L)cosB
i=180-(σ-σ')
σ角是地面观测者所看的行星对于太阳的距角,常小于直角;σ'角在一或二象限内,按其余弦的符号而决定。
火星最近地球:火星在一回合周期里,有一次距离地球最近,发生在冲日附近。2025年1月12日21时37分,火星最近地球。
过近日点和过远日点:假使不考虑摄动影响,行星的轨道为一椭圆,而太阳在其焦点上,行星在轨道上离太阳最近的一点,称为近日点,最远的一点称为远日点。所列过近日点和过远日点日期是行星向径为极小或极大的日期,也就是已经考虑摄动的影响,这与由平均轨道根数近日点黄经等于0度或180度的日期稍有不同。
行星纬度最南最北:是日心黄纬最南、最北的时刻,最北时黄纬为正,最南时黄纬为负。
仙后座RZ星(HIP 13133)是仙后座中的一颗恒星,以食变星闻名。学名为RZ Cassiopeiae(缩写为RZ Cas)。1906年被发现。它的变化周期仅为1.1953天。亮度在6.18等至7.72等之间变化。由于它的快速变暗和变亮变化以及可以用双筒望远镜轻松观察到其亮度,因此它在天文爱好者中很受欢迎!
仙后座RZ星在阁道一(仙后座ι星)附近。通过连接阁道三(仙后座δ星)和阁道二(仙后座ε星,是“W”最左边的恒星)而在仙后座ε星方向上以相同的长度寻找4.5等星就是仙后座ι星。一旦找到了仙后座ι,您就可以使用外部链接星图轻松找到仙后座RZ。它位于银经132.89、银纬9.07,其B1900.0坐标为赤经α2h39m54.1s、赤纬δ+69°9.07′49″。
预报的时间同时适用于所有东八时区(UTC+08:00)的地方,包括:中国、蒙古、菲律宾、新加坡、马来西亚、文莱、西澳大利亚。
参考资料
1、《2025年中国天文年历》科学出版社,ISBN: 9787030770585
2、《十年袖珍月历 2025-2034年》气象出版社,ISBN: 9787502981570
3、李广宇、张培瑜著《PMOE2003行星历表框架》,《紫金山天文台台刊》第22卷,3~4期(2003年12月)
4、《大众万年历 1901-2050年》1994年10月第2版,上海科学技术出版社
5、有趣天文奇观
2025年天象预报资料,可在“有趣天文奇观”网站下取得,欢迎多加利用!http://interesting-sky.china-vo.org/categories/year/